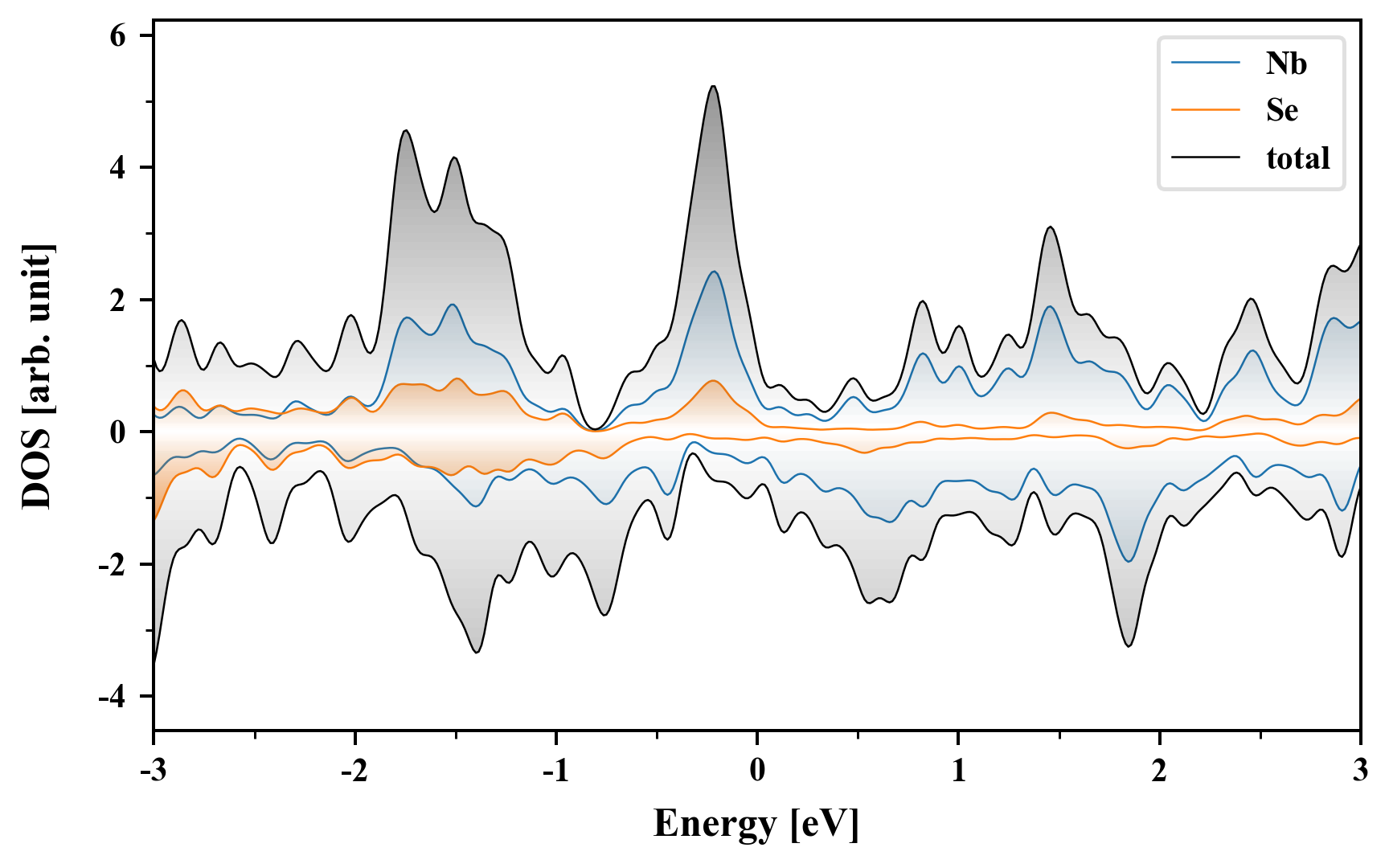
Nb2Se2
MatHub2d-873-Nb2Se2
| Property |
Value |
| Space group |
(187, 'P-6m2') |
| Crystal system |
hexagonal |
| Magnetic |
Yes |
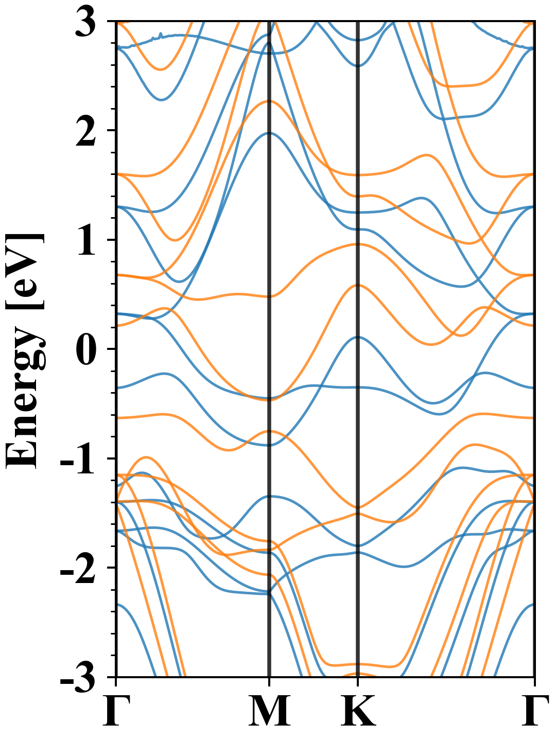
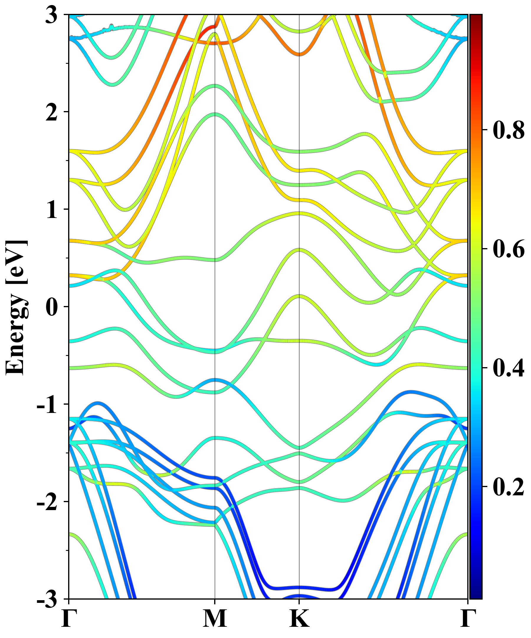
| Band gap (PBE) (eV) |
0.01 |
| Free energy (eV) |
-24.590 |
| Free energy / atom (eV) |
-6.148 |
Lattice Parameters (basic)
| a, b, c (Å): | 3.218 | 3.218 | 30.000 |
| α, β, γ (°): | 90.000 | 90.000 | 120.000 |
Lattice Parameters (computed)
| a, b, c (Å): | 3.314 | 3.314 | 30.000 |
| α, β, γ (°): | 90.000 | 90.000 | 120.000 |
| Property |
Value |
| Band gap |
0.01 eV |
| E-fermi |
-1.275 eV |
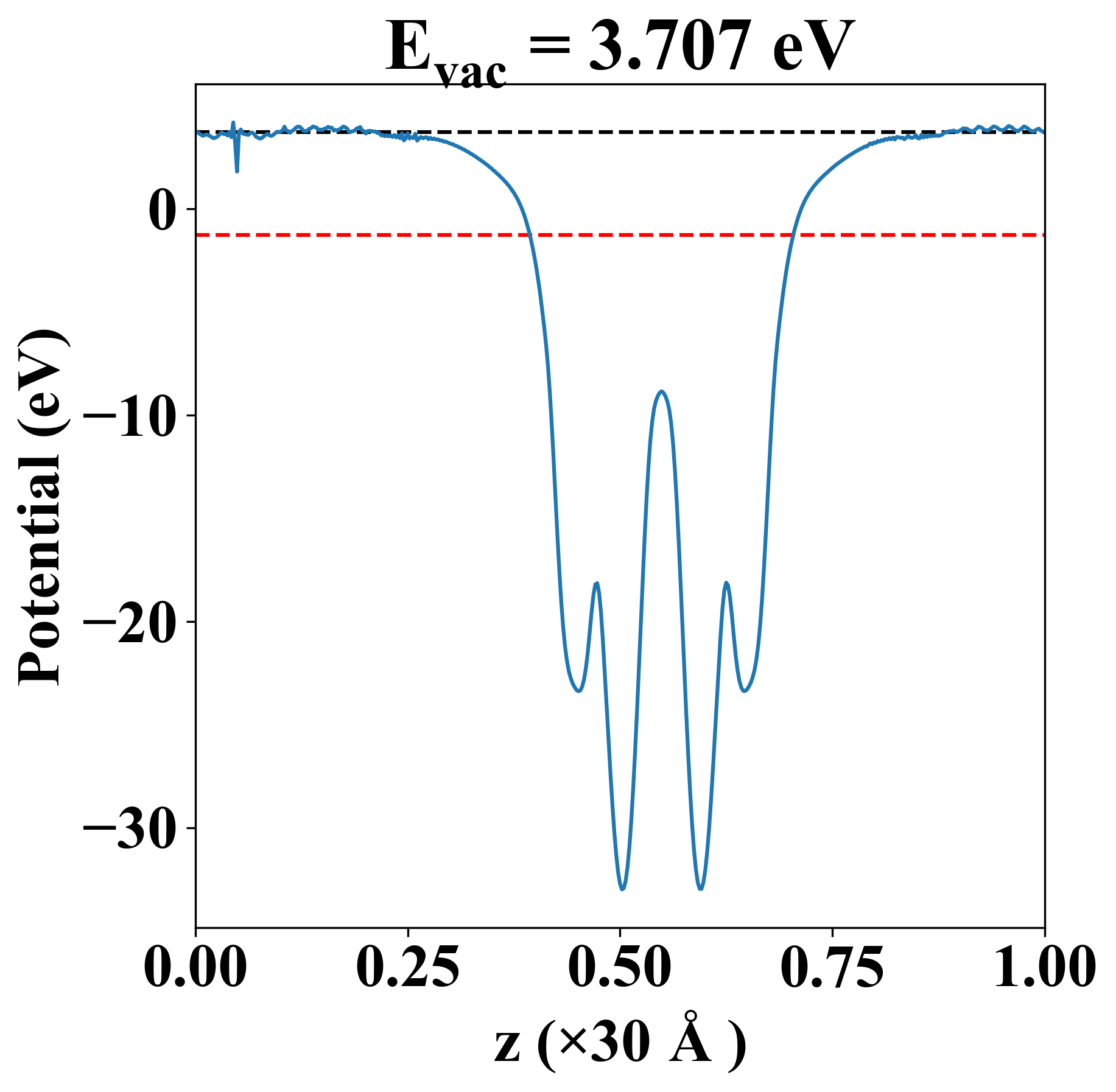
| Vacuum level |
3.707 eV |
| VBM |
-1.276 eV |
| CBM |
-1.269 eV |
| Work function |
4.981 eV |
| Direct gap |
No |
| Property |
Value |
| Band gap |
0.01 eV |
| E-fermi |
-1.275 eV |
| Vacuum level |
3.707 eV |
| VBM |
-1.276 eV |
| CBM |
-1.269 eV |
| Work function |
4.981 eV |
| Cij (N/m) |
xx |
yy |
xy |
| xx |
64.147 |
-27.719 |
0.000 |
| yy |
-27.719 |
64.147 |
-0.000 |
| xy |
0.000 |
-0.000 |
45.933 |
| Phonon mode at Γ point (THz) |
| -2.241 |
| -2.241 |
| 0.001 |
| 0.001 |
| 0.001 |
| 3.037 |
| 5.000 |
| 5.000 |
| 5.402 |
| 5.402 |
| 7.582 |
| 8.733 |
| Property |
Value |
| from where |
c2db-1658 |