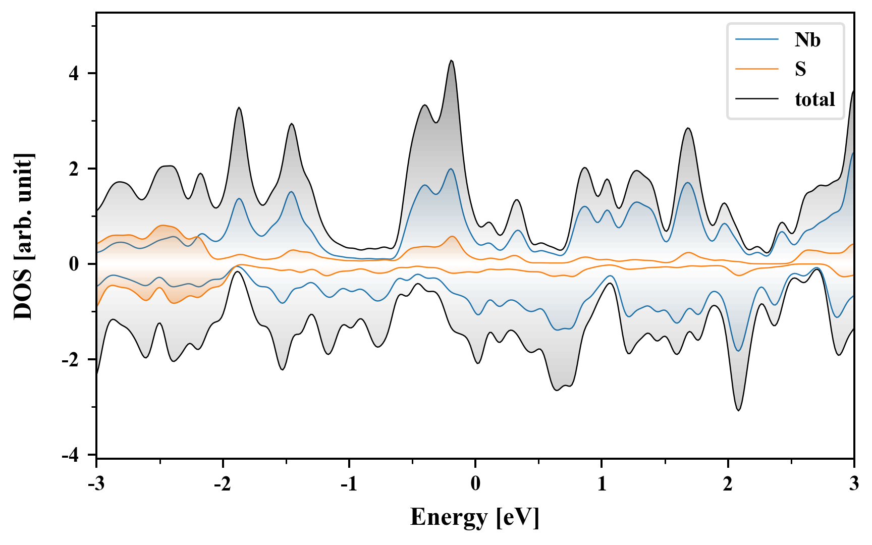
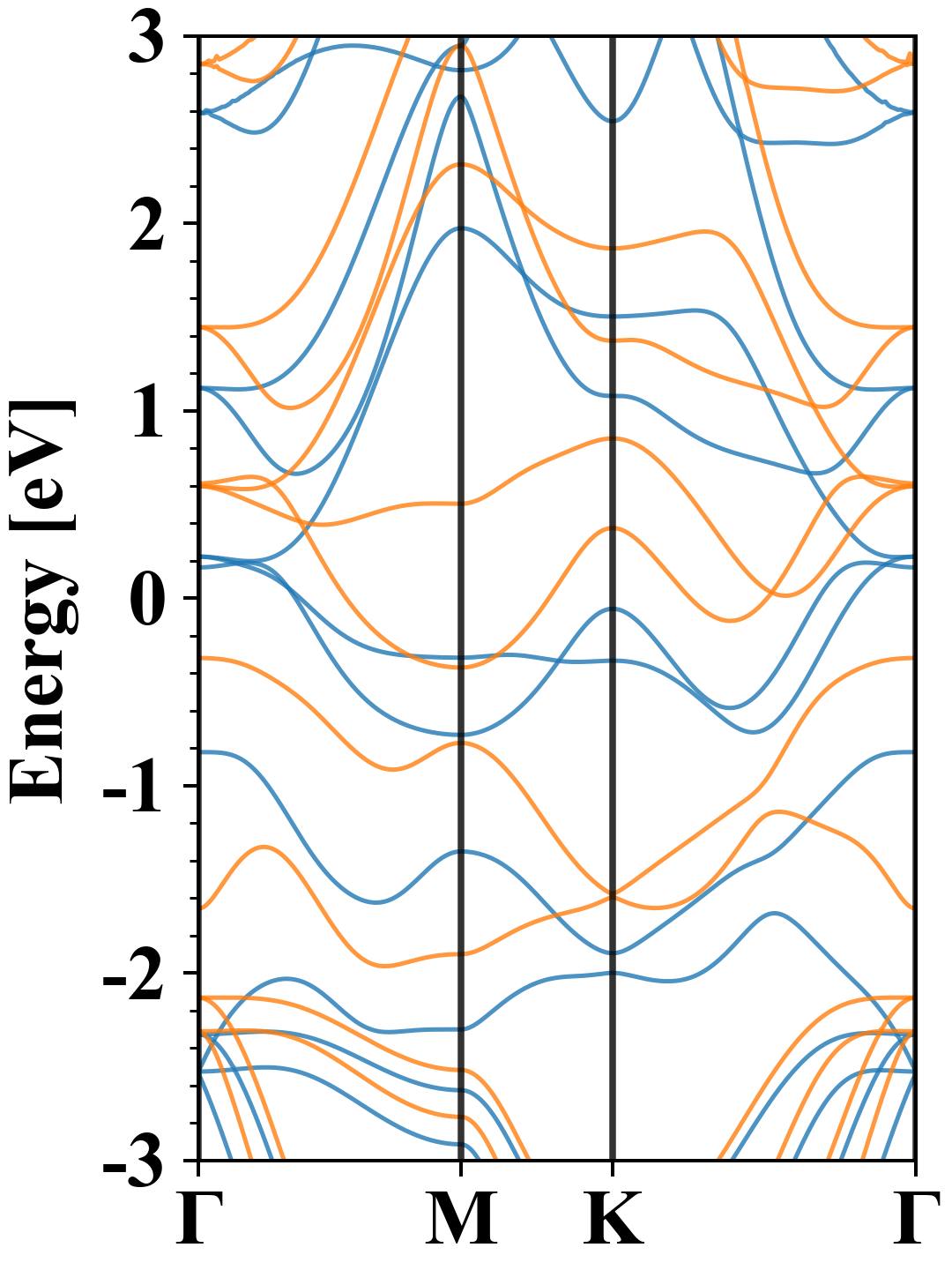
Nb2S2
MatHub2d-872-Nb2S2
| Property |
Value |
| Space group |
(187, 'P-6m2') |
| Crystal system |
hexagonal |
| Magnetic |
Yes |
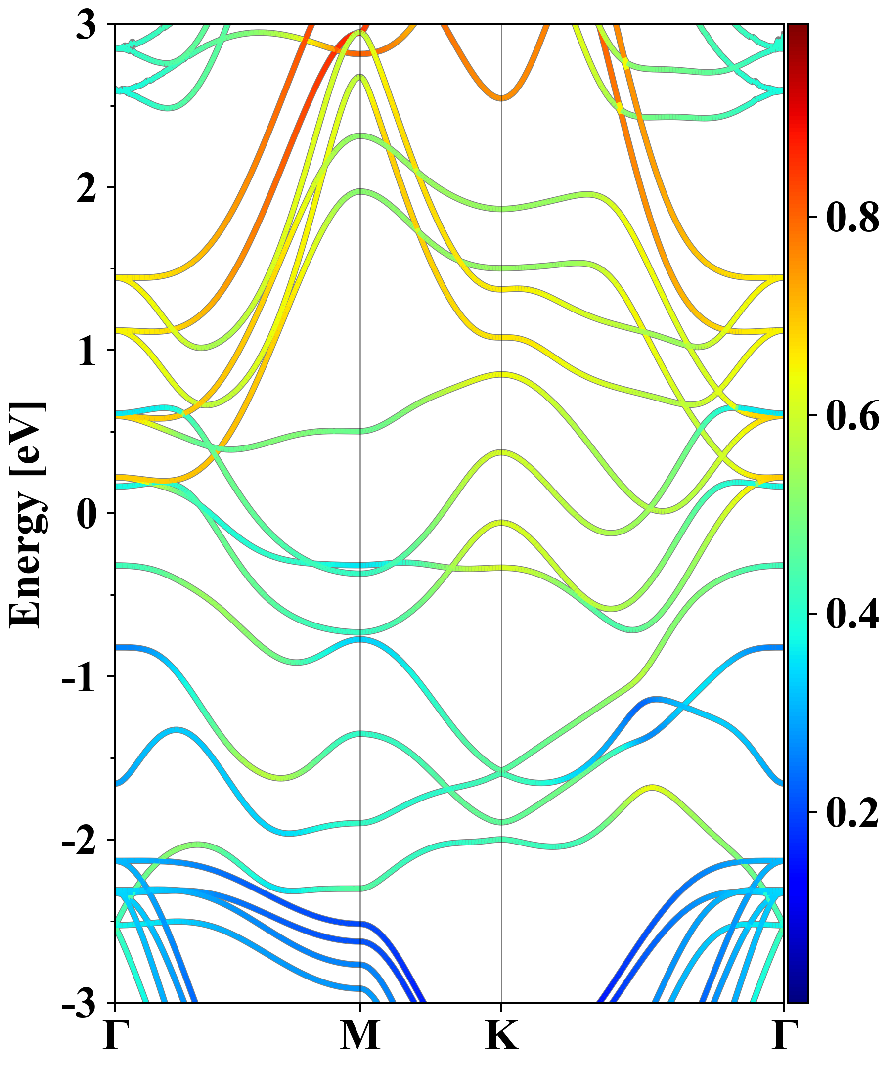
| Band gap (PBE) (eV) |
0.01 |
| Free energy (eV) |
-26.686 |
| Free energy / atom (eV) |
-6.671 |
Lattice Parameters (basic)
| a, b, c (Å): | 3.205 | 3.205 | 30.000 |
| α, β, γ (°): | 90.000 | 90.000 | 120.000 |
Lattice Parameters (computed)
| a, b, c (Å): | 3.263 | 3.263 | 30.000 |
| α, β, γ (°): | 90.000 | 90.000 | 120.000 |
| Property |
Value |
| Band gap |
0.01 eV |
| E-fermi |
-1.498 eV |
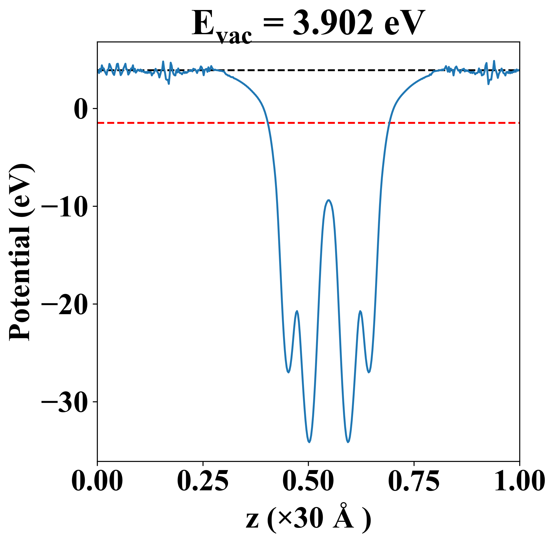
| Vacuum level |
3.902 eV |
| VBM |
-1.502 eV |
| CBM |
-1.492 eV |
| Work function |
5.400 eV |
| Direct gap |
No |
| Property |
Value |
| Band gap |
0.01 eV |
| E-fermi |
-1.498 eV |
| Vacuum level |
3.902 eV |
| VBM |
-1.502 eV |
| CBM |
-1.492 eV |
| Work function |
5.400 eV |
| Cij (N/m) |
xx |
yy |
xy |
| xx |
94.937 |
11.647 |
-0.000 |
| yy |
11.647 |
94.937 |
0.000 |
| xy |
-0.000 |
0.000 |
41.645 |
| Phonon mode at Γ point (THz) |
| -2.329 |
| -2.329 |
| -0.002 |
| -0.002 |
| 0.001 |
| 4.150 |
| 7.171 |
| 7.171 |
| 7.766 |
| 7.766 |
| 10.345 |
| 11.728 |
| Property |
Value |
| from where |
c2db-1657 |