Nb2O2
MatHub2d-871-Nb2O2
| Property |
Value |
| Space group |
(187, 'P-6m2') |
| Crystal system |
hexagonal |
| Magnetic |
Yes |
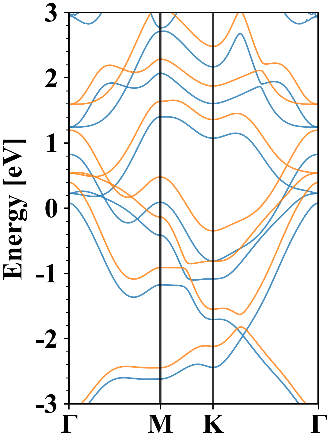
| Band gap (PBE) (eV) |
0.00 |
| Free energy (eV) |
-32.584 |
| Free energy / atom (eV) |
-8.146 |
Lattice Parameters (basic)
| a, b, c (Å): | 3.151 | 3.151 | 30.000 |
| α, β, γ (°): | 90.000 | 90.000 | 120.000 |
Lattice Parameters (computed)
| a, b, c (Å): | 3.159 | 3.159 | 30.000 |
| α, β, γ (°): | 90.000 | 90.000 | 120.000 |
| Property |
Value |
| Band gap |
0.00 eV |
| E-fermi |
-1.737 eV |
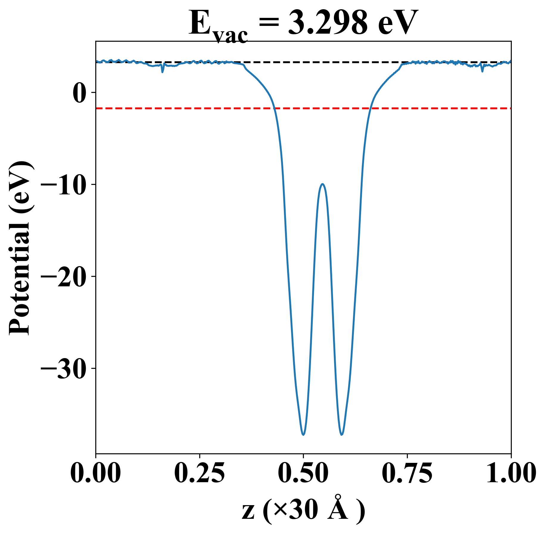
| Vacuum level |
3.298 eV |
| VBM |
-1.738 eV |
| CBM |
-1.737 eV |
| Work function |
5.035 eV |
| Direct gap |
No |
| Property |
Value |
| Band gap |
0.00 eV |
| E-fermi |
-1.737 eV |
| Vacuum level |
3.298 eV |
| VBM |
-1.738 eV |
| CBM |
-1.737 eV |
| Work function |
5.035 eV |
| Cij (N/m) |
xx |
yy |
xy |
| xx |
141.177 |
21.343 |
-0.000 |
| yy |
21.343 |
141.177 |
-0.000 |
| xy |
-0.000 |
-0.000 |
59.917 |
| Phonon mode at Γ point (THz) |
| -4.795 |
| -4.795 |
| -3.475 |
| -3.475 |
| -0.005 |
| 0.006 |
| 0.006 |
| 1.837 |
| 1.837 |
| 4.936 |
| 13.591 |
| 15.301 |
| Property |
Value |
| from where |
c2db-1656 |