Nb1Te2
MatHub2d-870-Nb1Te2
| Property |
Value |
| Space group |
(187, 'P-6m2') |
| Crystal system |
hexagonal |
| Magnetic |
Yes |
| Band gap (PBE) (eV) |
0.00 |
| Free energy (eV) |
-15.953 |
| Free energy / atom (eV) |
-5.318 |
Lattice Parameters (basic)
| a, b, c (Å): | 3.682 | 3.682 | 30.000 |
| α, β, γ (°): | 90.000 | 90.000 | 120.000 |
Lattice Parameters (computed)
| a, b, c (Å): | 3.720 | 3.720 | 30.000 |
| α, β, γ (°): | 90.000 | 90.000 | 120.000 |
| Property |
Value |
| Band gap |
0.00 eV |
| E-fermi |
-2.143 eV |
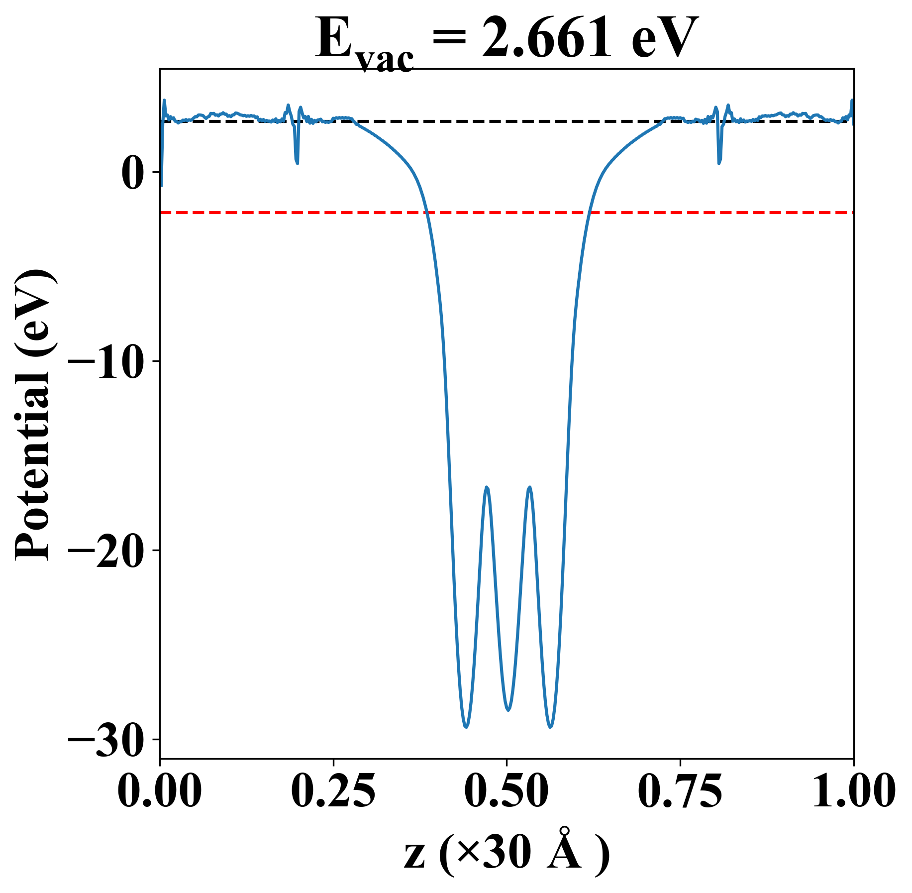
| Vacuum level |
2.661 eV |
| VBM |
-2.144 eV |
| CBM |
-2.142 eV |
| Work function |
4.804 eV |
| Direct gap |
No |
| Property |
Value |
| Band gap |
0.00 eV |
| E-fermi |
-2.143 eV |
| Vacuum level |
2.661 eV |
| VBM |
-2.144 eV |
| CBM |
-2.142 eV |
| Work function |
4.804 eV |
| Cij (N/m) |
xx |
yy |
xy |
| xx |
58.088 |
17.541 |
0.000 |
| yy |
17.541 |
58.088 |
-0.000 |
| xy |
0.000 |
-0.000 |
20.274 |
| Phonon mode at Γ point (THz) |
| -0.001 |
| -0.001 |
| -0.001 |
| 2.591 |
| 2.591 |
| 4.512 |
| 5.694 |
| 5.694 |
| 6.939 |
| Property |
Value |
| from where |
c2db-543 |