Nb1Te2
MatHub2d-869-Nb1Te2
| Property |
Value |
| Space group |
(164, 'P-3m1') |
| Crystal system |
hexagonal |
| Magnetic |
Yes |
| Band gap (PBE) (eV) |
0.00 |
| Free energy (eV) |
-15.879 |
| Free energy / atom (eV) |
-5.293 |
Lattice Parameters (basic)
| a, b, c (Å): | 3.666 | 3.666 | 30.000 |
| α, β, γ (°): | 90.000 | 90.000 | 120.000 |
Lattice Parameters (computed)
| a, b, c (Å): | 3.717 | 3.717 | 30.000 |
| α, β, γ (°): | 90.000 | 90.000 | 120.000 |
| Property |
Value |
| Band gap |
0.00 eV |
| E-fermi |
-1.606 eV |
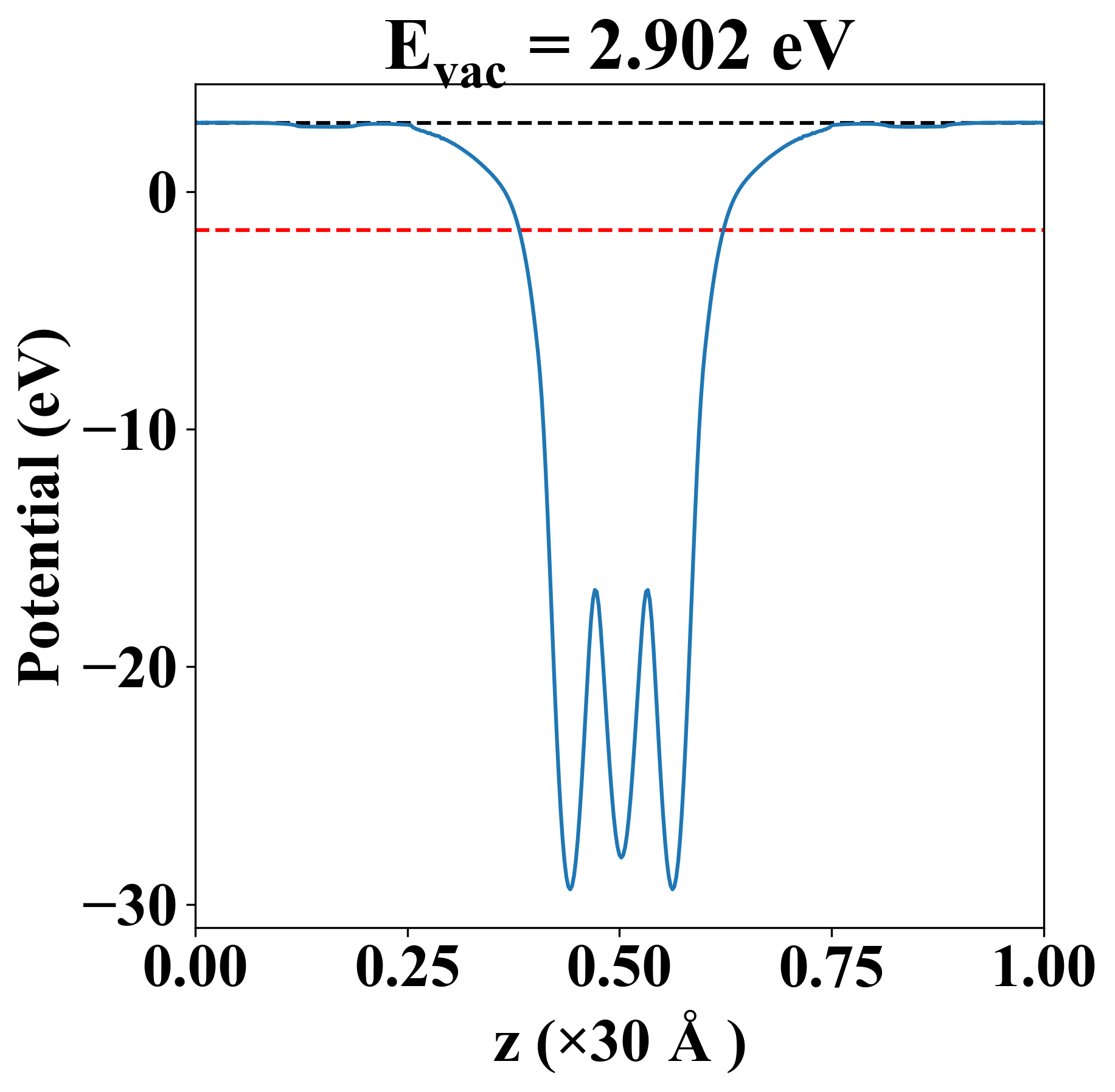
| Vacuum level |
2.902 eV |
| VBM |
-1.609 eV |
| CBM |
-1.605 eV |
| Work function |
4.508 eV |
| Direct gap |
No |
| Property |
Value |
| Band gap |
0.00 eV |
| E-fermi |
-1.606 eV |
| Vacuum level |
2.902 eV |
| VBM |
-1.609 eV |
| CBM |
-1.605 eV |
| Work function |
4.508 eV |
| Cij (N/m) |
xx |
yy |
xy |
| xx |
53.423 |
8.047 |
-0.000 |
| yy |
8.047 |
53.423 |
-0.000 |
| xy |
-0.000 |
-0.000 |
22.688 |
| Phonon mode at Γ point (THz) |
| -0.001 |
| -0.001 |
| 0.000 |
| 2.998 |
| 2.998 |
| 4.338 |
| 4.338 |
| 4.371 |
| 7.570 |
| Property |
Value |
| from where |
shu-44 |