Nb1Se2
MatHub2d-868-Nb1Se2
| Property |
Value |
| Space group |
(187, 'P-6m2') |
| Crystal system |
hexagonal |
| Magnetic |
Yes |
| Band gap (PBE) (eV) |
0.00 |
| Free energy (eV) |
-17.991 |
| Free energy / atom (eV) |
-5.997 |
Lattice Parameters (basic)
| a, b, c (Å): | 3.472 | 3.472 | 30.000 |
| α, β, γ (°): | 90.000 | 90.000 | 120.000 |
Lattice Parameters (computed)
| a, b, c (Å): | 3.504 | 3.504 | 30.000 |
| α, β, γ (°): | 90.000 | 90.000 | 120.000 |
| Property |
Value |
| Band gap |
0.00 eV |
| E-fermi |
-3.040 eV |
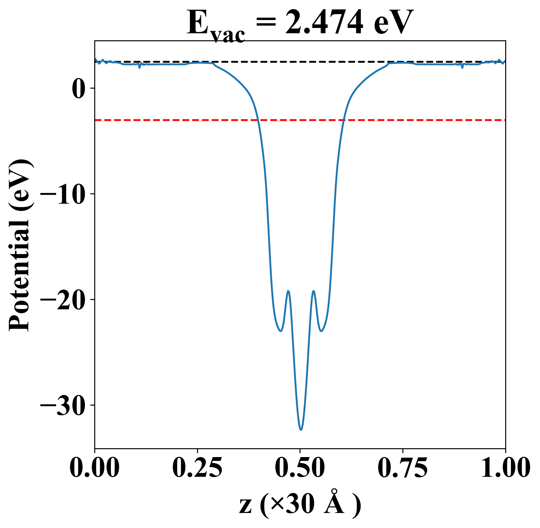
| Vacuum level |
2.474 eV |
| VBM |
-3.041 eV |
| CBM |
-3.040 eV |
| Work function |
5.514 eV |
| Direct gap |
No |
| Property |
Value |
| Band gap |
0.00 eV |
| E-fermi |
-3.040 eV |
| Vacuum level |
2.474 eV |
| VBM |
-3.041 eV |
| CBM |
-3.040 eV |
| Work function |
5.514 eV |
| Cij (N/m) |
xx |
yy |
xy |
| xx |
83.674 |
28.414 |
-0.000 |
| yy |
28.414 |
83.674 |
0.000 |
| xy |
-0.000 |
0.000 |
27.630 |
| Phonon mode at Γ point (THz) |
| -0.001 |
| -0.001 |
| 0.001 |
| 3.543 |
| 3.543 |
| 6.404 |
| 6.532 |
| 6.532 |
| 8.228 |
| Property |
Value |
| from where |
c2db-541 |