Nb1Se2
MatHub2d-867-Nb1Se2
| Property |
Value |
| Space group |
(164, 'P-3m1') |
| Crystal system |
hexagonal |
| Magnetic |
|
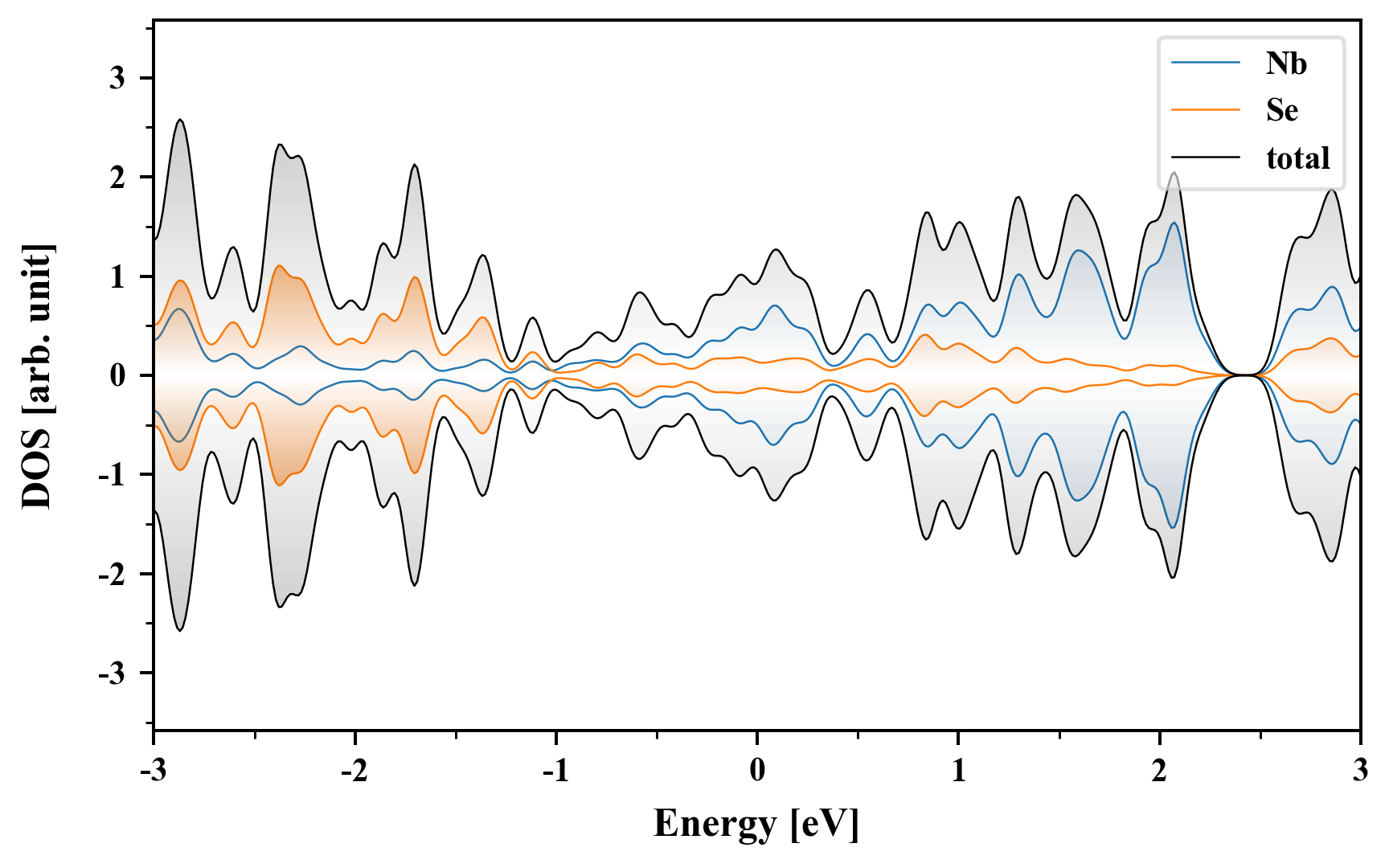
| Band gap (PBE) (eV) |
0.00 |
| Free energy (eV) |
-17.877 |
| Free energy / atom (eV) |
-5.959 |
Lattice Parameters (basic)
| a, b, c (Å): | 3.502 | 3.502 | 30.000 |
| α, β, γ (°): | 90.000 | 90.000 | 120.000 |
Lattice Parameters (computed)
| a, b, c (Å): | 3.525 | 3.525 | 30.000 |
| α, β, γ (°): | 90.000 | 90.000 | 120.000 |
| Property |
Value |
| Band gap |
0.00 eV |
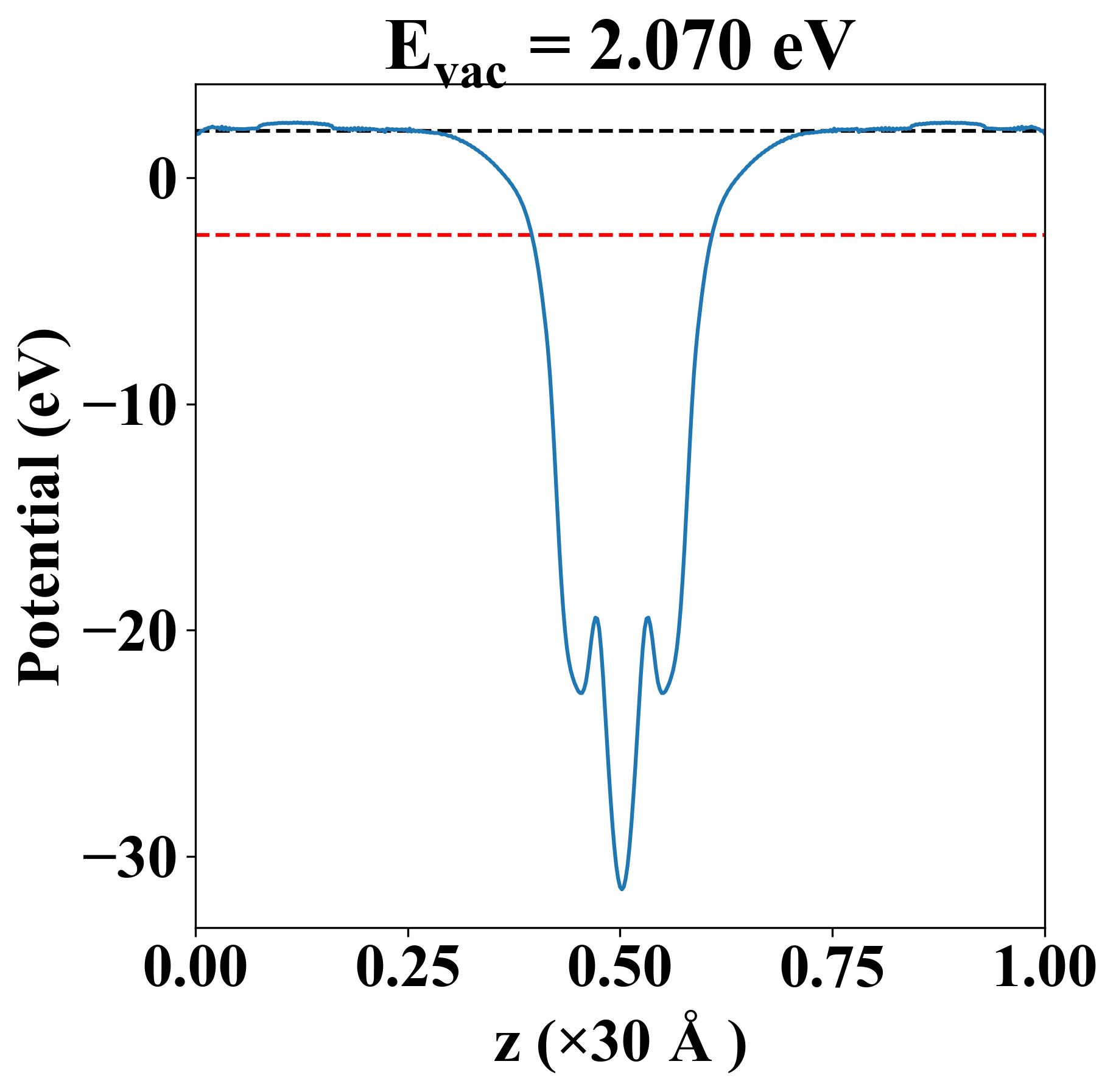
| E-fermi |
-2.510 eV |
| Vacuum level |
2.070 eV |
| VBM |
-2.510 eV |
| CBM |
-2.510 eV |
| Work function |
4.580 eV |
| Direct gap |
No |
| Property |
Value |
| Band gap |
0.00 eV |
| E-fermi |
-2.510 eV |
| Vacuum level |
2.070 eV |
| VBM |
-2.510 eV |
| CBM |
-2.510 eV |
| Work function |
4.580 eV |
| Cij (N/m) |
xx |
yy |
xy |
| xx |
70.920 |
13.443 |
0.000 |
| yy |
13.443 |
70.920 |
-0.000 |
| xy |
0.000 |
-0.000 |
28.739 |
| Phonon mode at Γ point (THz) |
| -0.004 |
| -0.004 |
| 0.001 |
| 4.193 |
| 4.193 |
| 4.312 |
| 4.312 |
| 6.091 |
| 8.707 |
| Property |
Value |
| from where |
JVASP-19510 |