Nb1S2
MatHub2d-866-Nb1S2
| Property |
Value |
| Space group |
(187, 'P-6m2') |
| Crystal system |
hexagonal |
| Magnetic |
Yes |
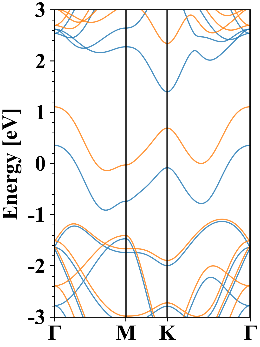
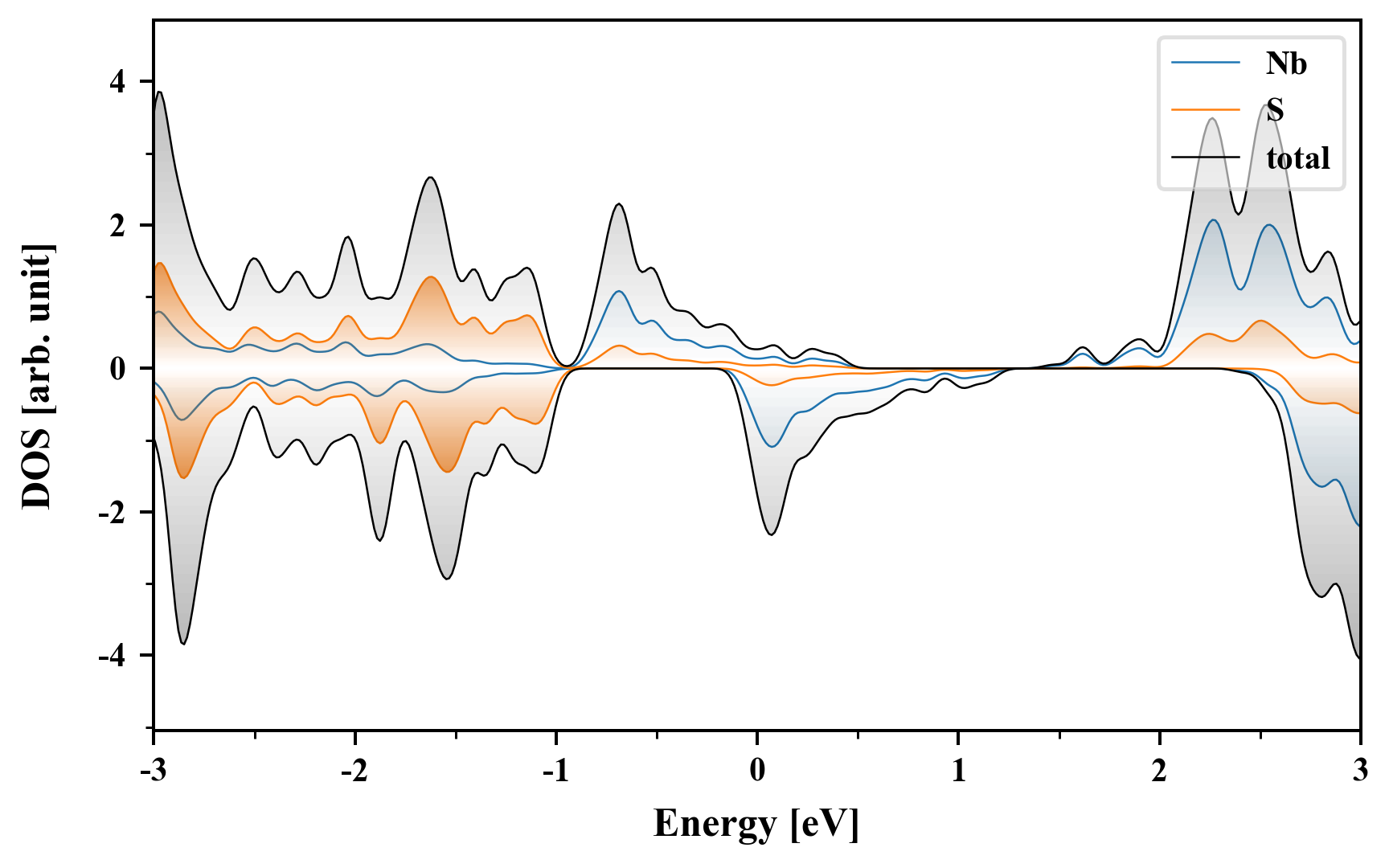
| Band gap (PBE) (eV) |
0.00 |
| Free energy (eV) |
-19.808 |
| Free energy / atom (eV) |
-6.603 |
Lattice Parameters (basic)
| a, b, c (Å): | 3.346 | 3.346 | 30.000 |
| α, β, γ (°): | 90.000 | 90.000 | 120.000 |
Lattice Parameters (computed)
| a, b, c (Å): | 3.369 | 3.369 | 30.000 |
| α, β, γ (°): | 90.000 | 90.000 | 120.000 |
| Property |
Value |
| Band gap |
0.00 eV |
| E-fermi |
-3.298 eV |
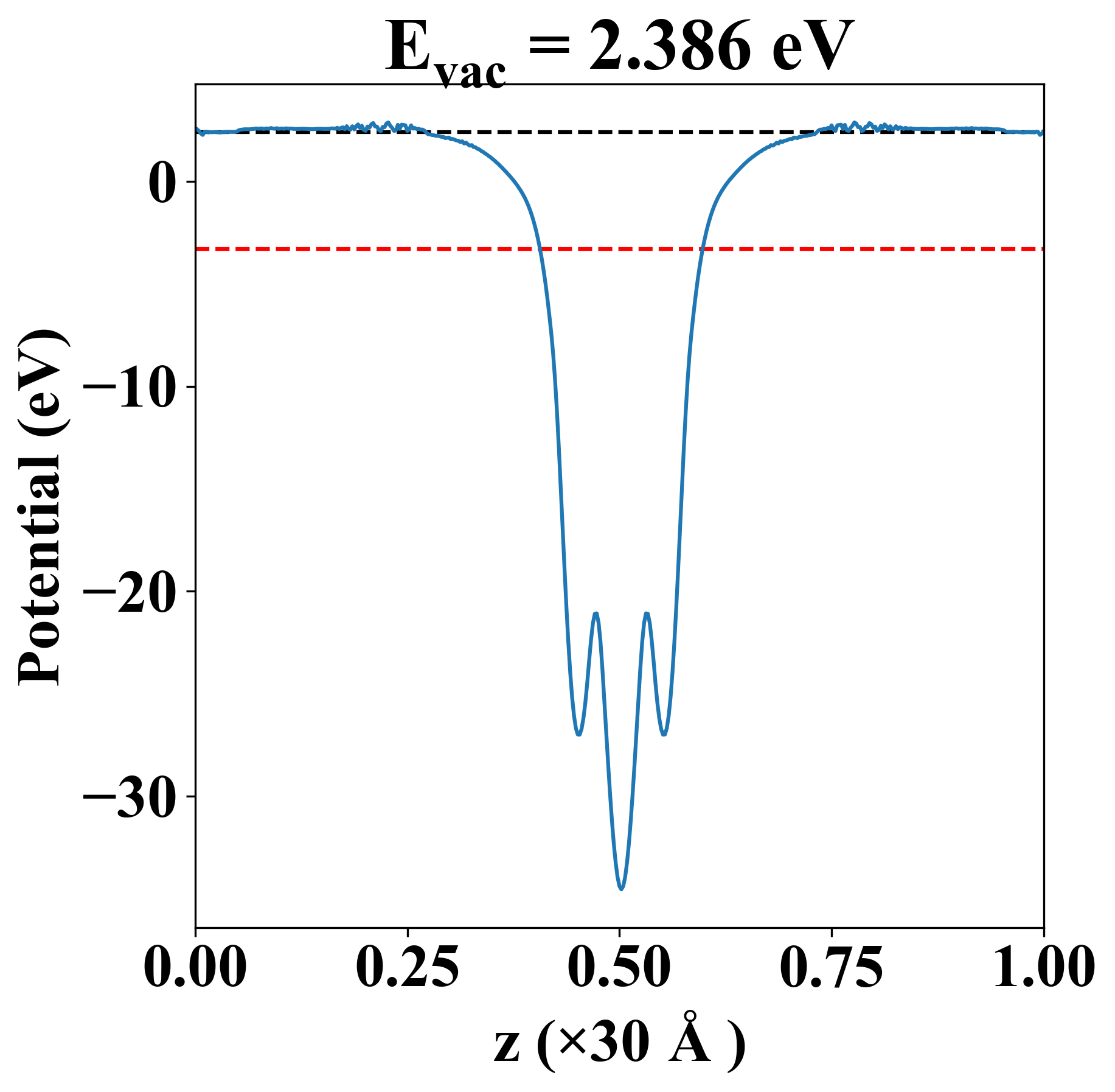
| Vacuum level |
2.386 eV |
| VBM |
-3.301 eV |
| CBM |
-3.298 eV |
| Work function |
5.684 eV |
| Direct gap |
No |
| Property |
Value |
| Band gap |
0.00 eV |
| E-fermi |
-3.298 eV |
| Vacuum level |
2.386 eV |
| VBM |
-3.301 eV |
| CBM |
-3.298 eV |
| Work function |
5.684 eV |
| Cij (N/m) |
xx |
yy |
xy |
| xx |
100.370 |
36.473 |
-0.000 |
| yy |
36.473 |
100.370 |
0.000 |
| xy |
-0.000 |
0.000 |
31.949 |
| Phonon mode at Γ point (THz) |
| -0.001 |
| 0.001 |
| 0.001 |
| 5.912 |
| 5.912 |
| 8.391 |
| 8.391 |
| 10.852 |
| 10.971 |
| Property |
Value |
| from where |
c2db-538 |