Nb1S2
MatHub2d-865-Nb1S2
| Property |
Value |
| Space group |
(164, 'P-3m1') |
| Crystal system |
hexagonal |
| Magnetic |
|
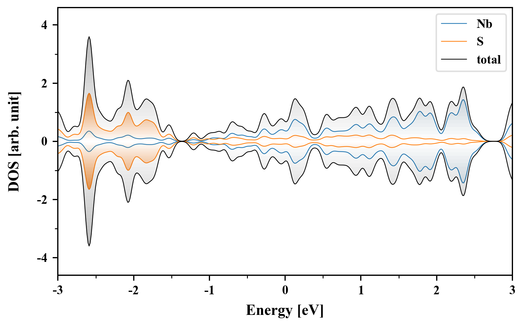
| Band gap (PBE) (eV) |
0.00 |
| Free energy (eV) |
-19.718 |
| Free energy / atom (eV) |
-6.573 |
Lattice Parameters (basic)
| a, b, c (Å): | 3.393 | 3.393 | 30.000 |
| α, β, γ (°): | 90.000 | 90.000 | 120.000 |
Lattice Parameters (computed)
| a, b, c (Å): | 3.387 | 3.387 | 30.000 |
| α, β, γ (°): | 90.000 | 90.000 | 120.000 |
| Property |
Value |
| Band gap |
0.00 eV |
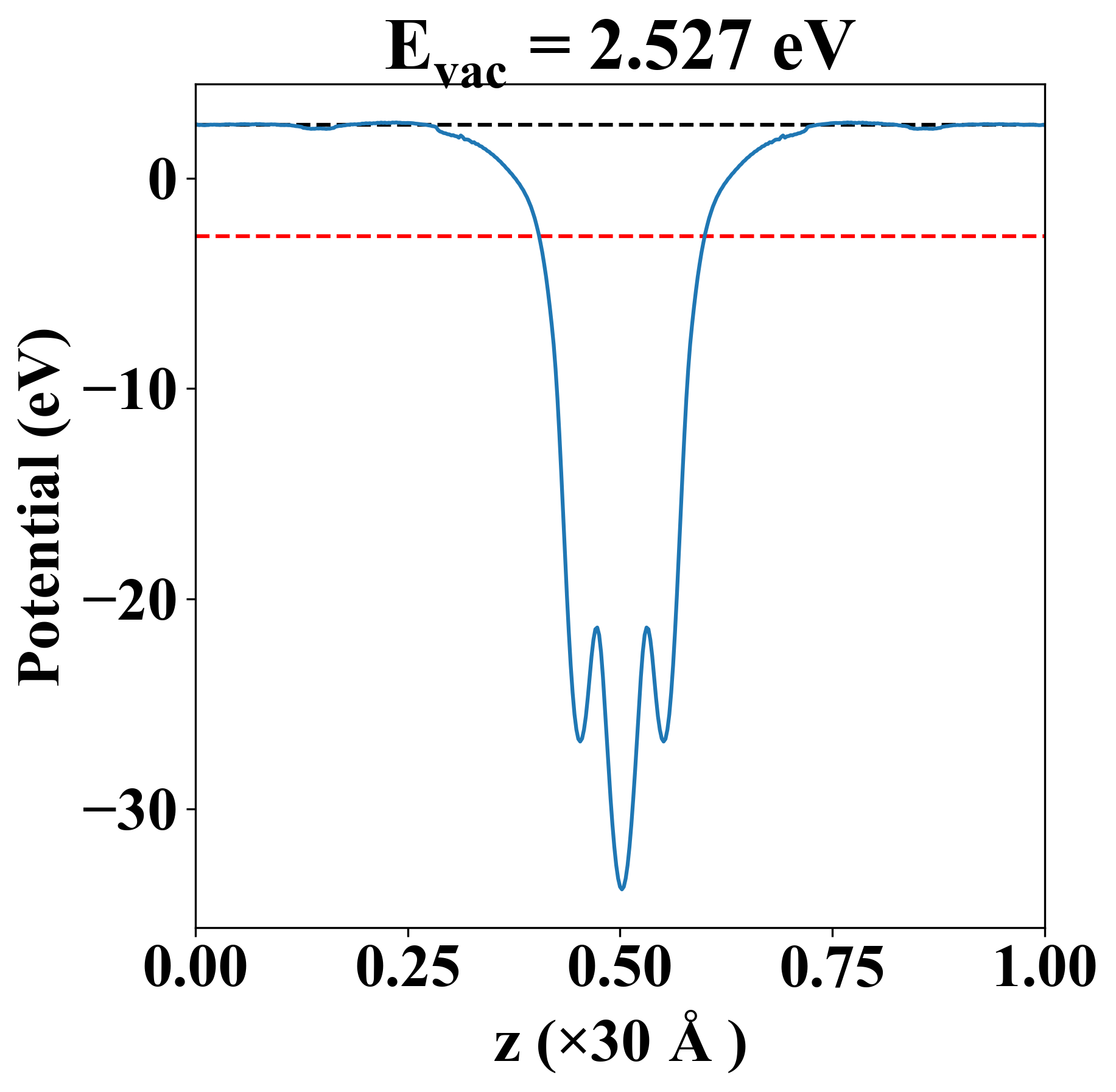
| E-fermi |
-2.768 eV |
| Vacuum level |
2.527 eV |
| VBM |
-2.770 eV |
| CBM |
-2.768 eV |
| Work function |
5.295 eV |
| Direct gap |
No |
| Property |
Value |
| Band gap |
0.00 eV |
| E-fermi |
-2.768 eV |
| Vacuum level |
2.527 eV |
| VBM |
-2.770 eV |
| CBM |
-2.768 eV |
| Work function |
5.295 eV |
| Cij (N/m) |
xx |
yy |
xy |
| xx |
89.016 |
20.221 |
0.000 |
| yy |
20.221 |
89.016 |
0.000 |
| xy |
0.000 |
0.000 |
34.397 |
| Phonon mode at Γ point (THz) |
| -0.002 |
| -0.002 |
| -0.002 |
| 5.803 |
| 5.803 |
| 7.175 |
| 7.175 |
| 10.305 |
| 11.563 |
| Property |
Value |
| from where |
JVASP-5947 |