Nb1S1Se1
MatHub2d-864-Nb1S1Se1
| Property |
Value |
| Space group |
(156, 'P3m1') |
| Crystal system |
hexagonal |
| Magnetic |
Yes |
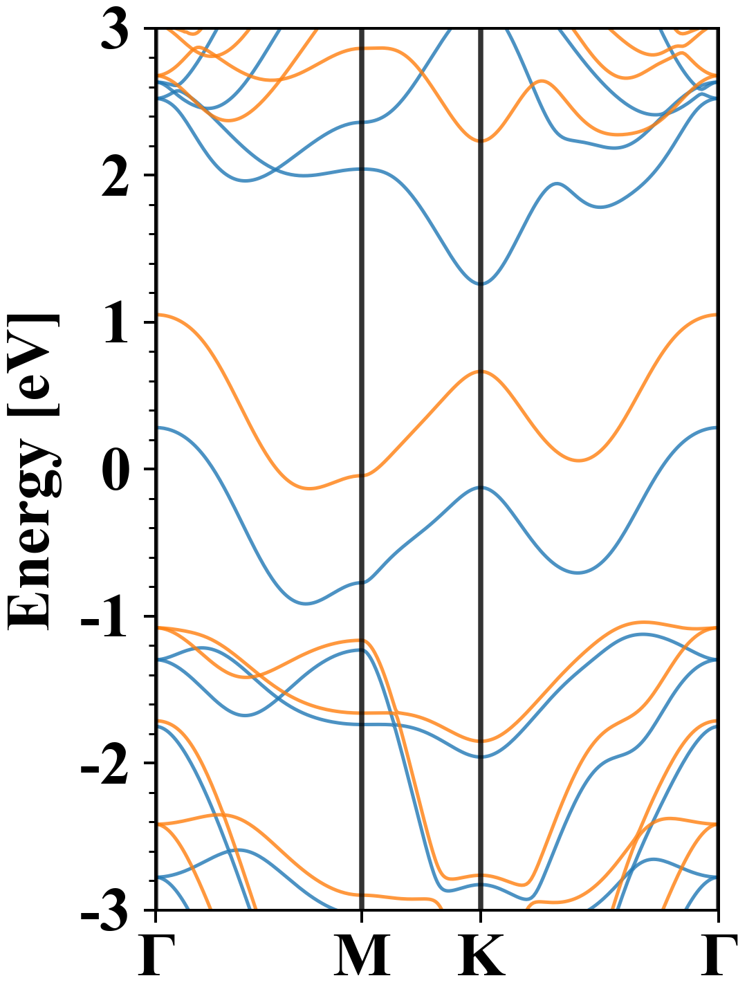
| Band gap (PBE) (eV) |
0.00 |
| Free energy (eV) |
-18.900 |
| Free energy / atom (eV) |
-6.300 |
Lattice Parameters (basic)
| a, b, c (Å): | 3.410 | 3.410 | 30.000 |
| α, β, γ (°): | 90.000 | 90.000 | 120.000 |
Lattice Parameters (computed)
| a, b, c (Å): | 3.437 | 3.437 | 30.000 |
| α, β, γ (°): | 90.000 | 90.000 | 120.000 |
| Property |
Value |
| Band gap |
0.00 eV |
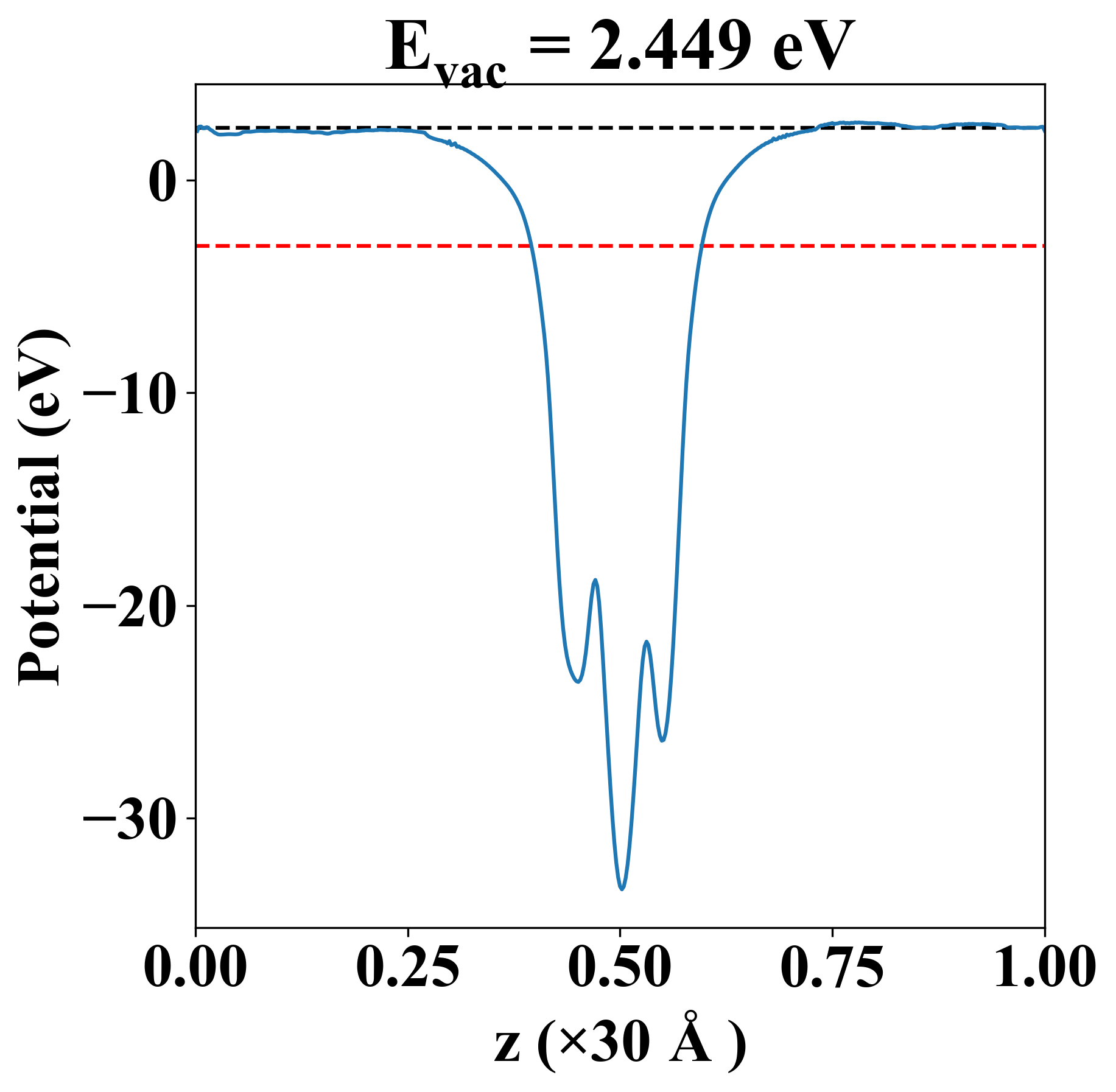
| E-fermi |
-3.097 eV |
| Vacuum level |
2.449 eV |
| VBM |
-3.099 eV |
| CBM |
-3.093 eV |
| Work function |
5.546 eV |
| Direct gap |
No |
| Property |
Value |
| Band gap |
0.00 eV |
| E-fermi |
-3.097 eV |
| Vacuum level |
2.449 eV |
| VBM |
-3.099 eV |
| CBM |
-3.093 eV |
| Work function |
5.546 eV |
| Cij (N/m) |
xx |
yy |
xy |
| xx |
92.265 |
31.145 |
0.000 |
| yy |
31.145 |
92.265 |
-0.000 |
| xy |
0.000 |
-0.000 |
30.560 |
| Phonon mode at Γ point (THz) |
| -0.001 |
| -0.001 |
| -0.001 |
| 4.416 |
| 4.416 |
| 7.620 |
| 7.620 |
| 7.749 |
| 10.471 |
| Property |
Value |
| from where |
c2db-1459 |