Nb1O2
MatHub2d-862-Nb1O2
| Property |
Value |
| Space group |
(164, 'P-3m1') |
| Crystal system |
hexagonal |
| Magnetic |
Yes |
| Band gap (PBE) (eV) |
0.00 |
| Free energy (eV) |
-25.359 |
| Free energy / atom (eV) |
-8.453 |
Lattice Parameters (basic)
| a, b, c (Å): | 3.114 | 3.114 | 30.000 |
| α, β, γ (°): | 90.000 | 90.000 | 120.000 |
Lattice Parameters (computed)
| a, b, c (Å): | 3.151 | 3.151 | 30.000 |
| α, β, γ (°): | 90.000 | 90.000 | 120.000 |
| Property |
Value |
| Band gap |
0.00 eV |
| E-fermi |
-3.342 eV |
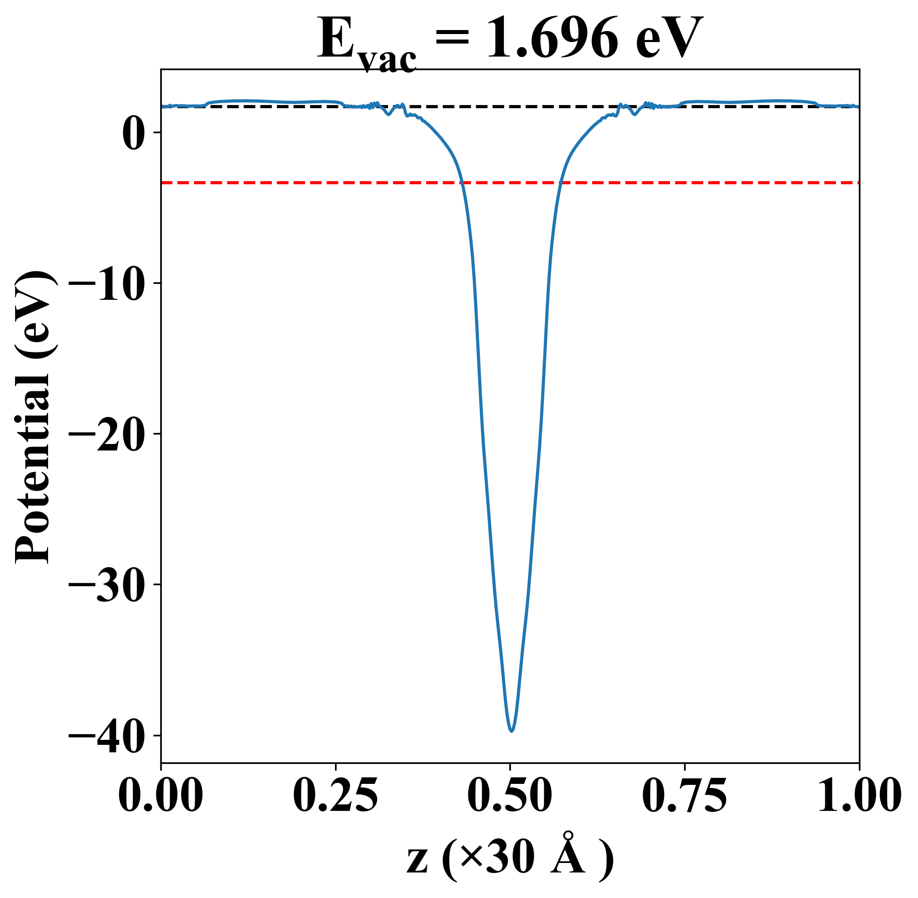
| Vacuum level |
1.696 eV |
| VBM |
-3.345 eV |
| CBM |
-3.341 eV |
| Work function |
5.038 eV |
| Direct gap |
No |
| Property |
Value |
| Band gap |
0.00 eV |
| E-fermi |
-3.342 eV |
| Vacuum level |
1.696 eV |
| VBM |
-3.345 eV |
| CBM |
-3.341 eV |
| Work function |
5.038 eV |
| Cij (N/m) |
xx |
yy |
xy |
| xx |
49.467 |
-2.145 |
0.000 |
| yy |
-2.145 |
49.467 |
0.000 |
| xy |
0.000 |
0.000 |
25.806 |
| Phonon mode at Γ point (THz) |
| -0.022 |
| -0.022 |
| -0.003 |
| 4.465 |
| 4.465 |
| 6.664 |
| 6.664 |
| 13.014 |
| 16.839 |
| Property |
Value |
| from where |
c2db-534 |