N2Y1
MatHub2d-860-N2Y1
| Property |
Value |
| Space group |
(187, 'P-6m2') |
| Crystal system |
hexagonal |
| Magnetic |
Yes |
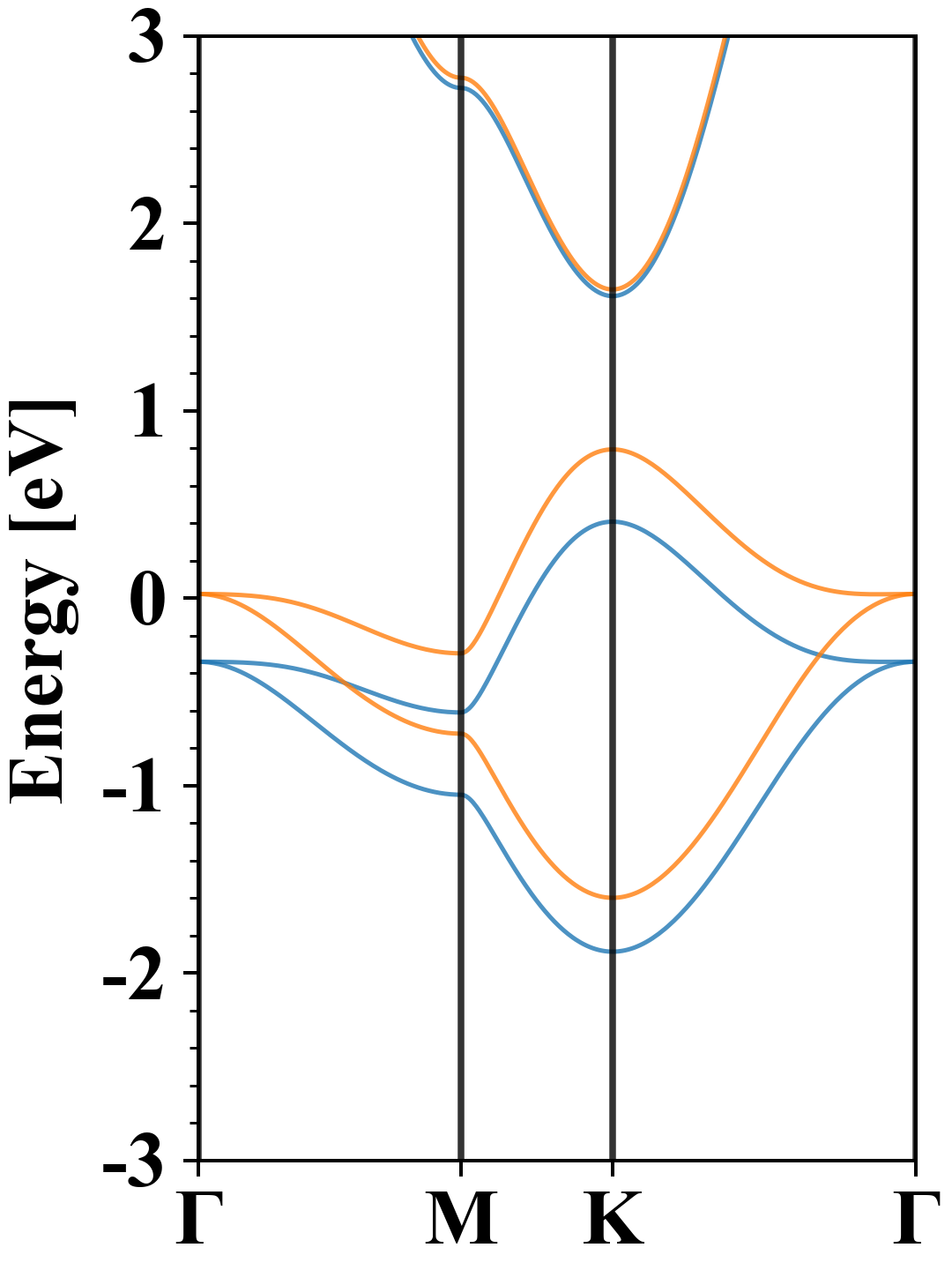
| Band gap (PBE) (eV) |
0.00 |
| Free energy (eV) |
-24.068 |
| Free energy / atom (eV) |
-8.023 |
Lattice Parameters (basic)
| a, b, c (Å): | 3.685 | 3.685 | 30.000 |
| α, β, γ (°): | 90.000 | 90.000 | 120.000 |
Lattice Parameters (computed)
| a, b, c (Å): | 3.802 | 3.802 | 30.000 |
| α, β, γ (°): | 90.000 | 90.000 | 120.000 |
| Property |
Value |
| Band gap |
0.00 eV |
| E-fermi |
-3.308 eV |
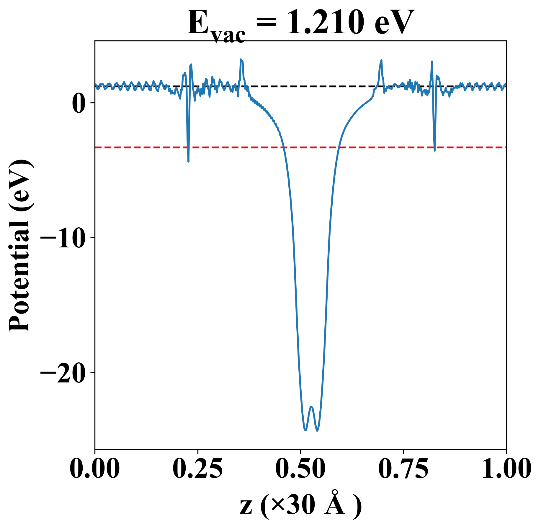
| Vacuum level |
1.210 eV |
| VBM |
-3.309 eV |
| CBM |
-3.308 eV |
| Work function |
4.518 eV |
| Direct gap |
No |
| Property |
Value |
| Band gap |
0.00 eV |
| E-fermi |
-3.308 eV |
| Vacuum level |
1.210 eV |
| VBM |
-3.309 eV |
| CBM |
-3.308 eV |
| Work function |
4.518 eV |
| Cij (N/m) |
xx |
yy |
xy |
| xx |
73.866 |
58.140 |
0.000 |
| yy |
58.140 |
73.866 |
0.000 |
| xy |
0.000 |
0.000 |
7.863 |
| Phonon mode at Γ point (THz) |
| -0.015 |
| -0.015 |
| -0.002 |
| 9.356 |
| 9.356 |
| 10.200 |
| 13.430 |
| 13.430 |
| 29.017 |
| Property |
Value |
| from where |
sz.tsinghua-121 |