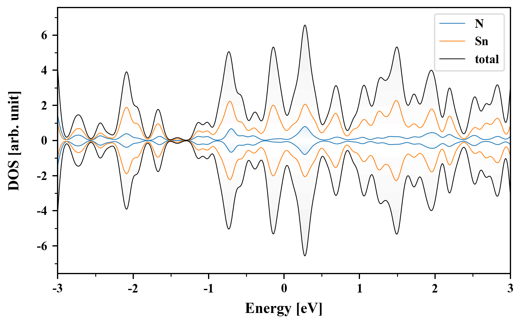
N2Sn6
MatHub2d-859-N2Sn6
| Property |
Value |
| Space group |
(191, 'P6/mmm') |
| Crystal system |
hexagonal |
| Magnetic |
|
| Band gap (PBE) (eV) |
0.00 |
| Free energy (eV) |
-34.232 |
| Free energy / atom (eV) |
-4.279 |
Lattice Parameters (basic)
| a, b, c (Å): | 8.708 | 8.708 | 30.000 |
| α, β, γ (°): | 90.000 | 90.000 | 120.000 |
Lattice Parameters (computed)
| a, b, c (Å): | 8.621 | 8.621 | 30.000 |
| α, β, γ (°): | 90.000 | 90.000 | 120.000 |
| Property |
Value |
| Band gap |
0.00 eV |
| E-fermi |
-2.985 eV |
| Vacuum level |
1.076 eV |
| VBM |
-2.986 eV |
| CBM |
-2.984 eV |
| Work function |
4.061 eV |
| Direct gap |
No |
| Property |
Value |
| Band gap |
0.00 eV |
| E-fermi |
-2.985 eV |
| Vacuum level |
1.076 eV |
| VBM |
-2.986 eV |
| CBM |
-2.984 eV |
| Work function |
4.061 eV |
| Cij (N/m) |
xx |
yy |
xy |
| xx |
17.714 |
33.015 |
-0.000 |
| yy |
33.015 |
17.714 |
0.000 |
| xy |
-0.000 |
0.000 |
-7.650 |
| Phonon mode at Γ point (THz) |
| -2.427 |
| -1.914 |
| -1.765 |
| -1.765 |
| -1.557 |
| -1.557 |
| -0.005 |
| -0.005 |
| 0.004 |
| 1.146 |
| 1.146 |
| 1.419 |
| 3.945 |
| 3.945 |
| 4.261 |
| 4.377 |
| 4.377 |
| 4.571 |
| 5.852 |
| 6.085 |
| 16.071 |
| 16.071 |
| 16.983 |
| 16.983 |
| Property |
Value |
| from where |
c2db-732 |