N2Sn2
MatHub2d-857-N2Sn2
| Property |
Value |
| Space group |
(164, 'P-3m1') |
| Crystal system |
hexagonal |
| Magnetic |
No |
| Band gap (PBE) (eV) |
0.18 |
| Free energy (eV) |
-23.396 |
| Free energy / atom (eV) |
-5.849 |
Lattice Parameters (basic)
| a, b, c (Å): | 3.429 | 3.429 | 30.000 |
| α, β, γ (°): | 90.000 | 90.000 | 120.000 |
Lattice Parameters (computed)
| a, b, c (Å): | 3.368 | 3.368 | 30.000 |
| α, β, γ (°): | 90.000 | 90.000 | 120.000 |
| Property |
Value |
| Band gap |
0.18 eV |
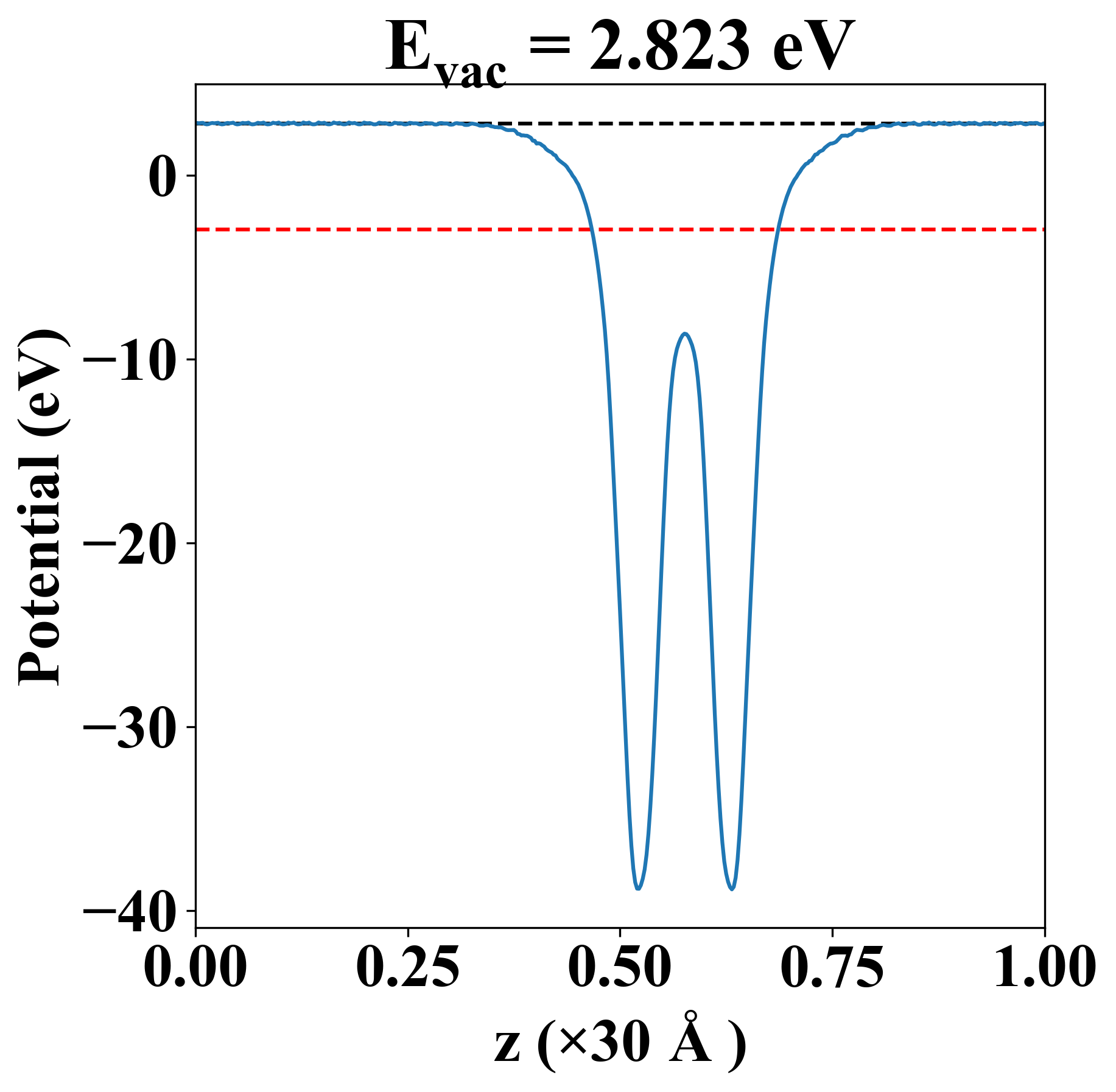
| E-fermi |
-2.936 eV |
| Vacuum level |
2.823 eV |
| VBM |
-3.032 eV |
| CBM |
-2.848 eV |
| Work function |
5.760 eV |
| Direct gap |
No |
| Property |
Value |
| Band gap |
0.22 eV |
| E-fermi |
-2.943 eV |
| VBM |
-3.059 eV |
| CBM |
-2.835 eV |
| Free energy (eV) |
-23.479 |
| Free energy / atom (eV) |
-5.870 |
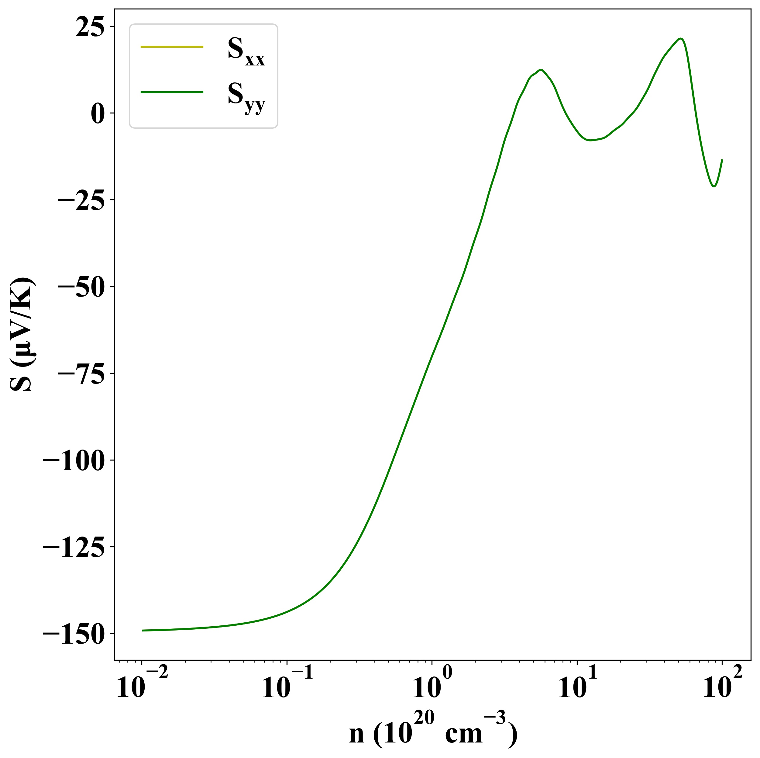
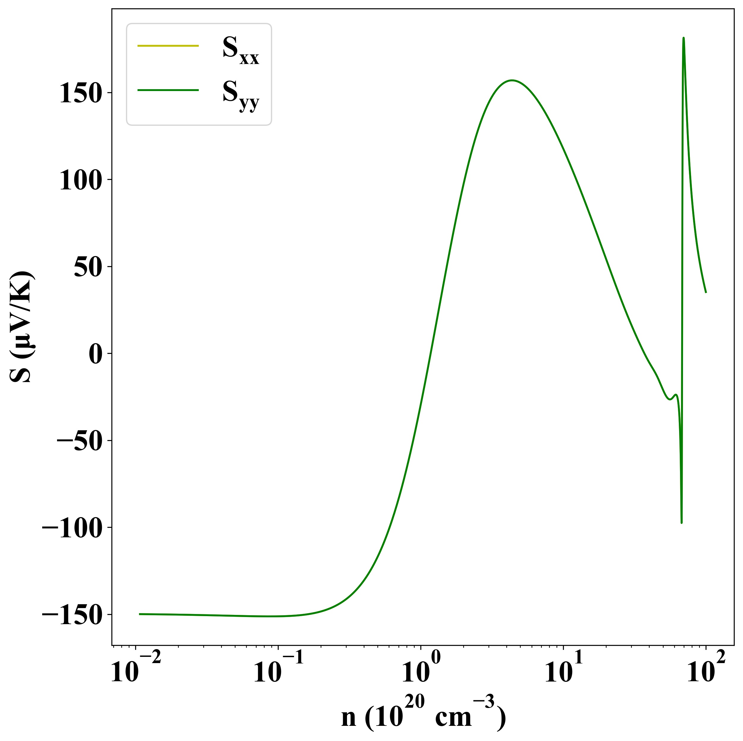
| Property |
Value |
| Band gap |
0.18 eV |
| E-fermi |
-2.936 eV |
| Vacuum level |
2.823 eV |
| VBM |
-3.032 eV |
| CBM |
-2.848 eV |
| Work function |
5.760 eV |
| Cij (N/m) |
xx |
yy |
xy |
| xx |
146.724 |
52.451 |
-0.000 |
| yy |
52.451 |
146.724 |
-0.000 |
| xy |
-0.000 |
-0.000 |
47.136 |
| Phonon mode at Γ point (THz) |
| -0.004 |
| -0.002 |
| -0.002 |
| 1.561 |
| 1.561 |
| 4.035 |
| 11.451 |
| 12.187 |
| 17.666 |
| 17.666 |
| 17.727 |
| 17.727 |
| Property |
Value |
| from where |
sz.tsinghua-89 |