N2Si6
MatHub2d-856-N2Si6
| Property |
Value |
| Space group |
(191, 'P6/mmm') |
| Crystal system |
hexagonal |
| Magnetic |
No |
| Band gap (PBE) (eV) |
0.00 |
| Free energy (eV) |
-46.162 |
| Free energy / atom (eV) |
-5.770 |
Lattice Parameters (basic)
| a, b, c (Å): | 6.892 | 6.892 | 30.000 |
| α, β, γ (°): | 90.000 | 90.000 | 120.000 |
Lattice Parameters (computed)
| a, b, c (Å): | 6.875 | 6.875 | 30.000 |
| α, β, γ (°): | 90.000 | 90.000 | 120.000 |
| Property |
Value |
| Band gap |
0.00 eV |
| E-fermi |
-3.405 eV |
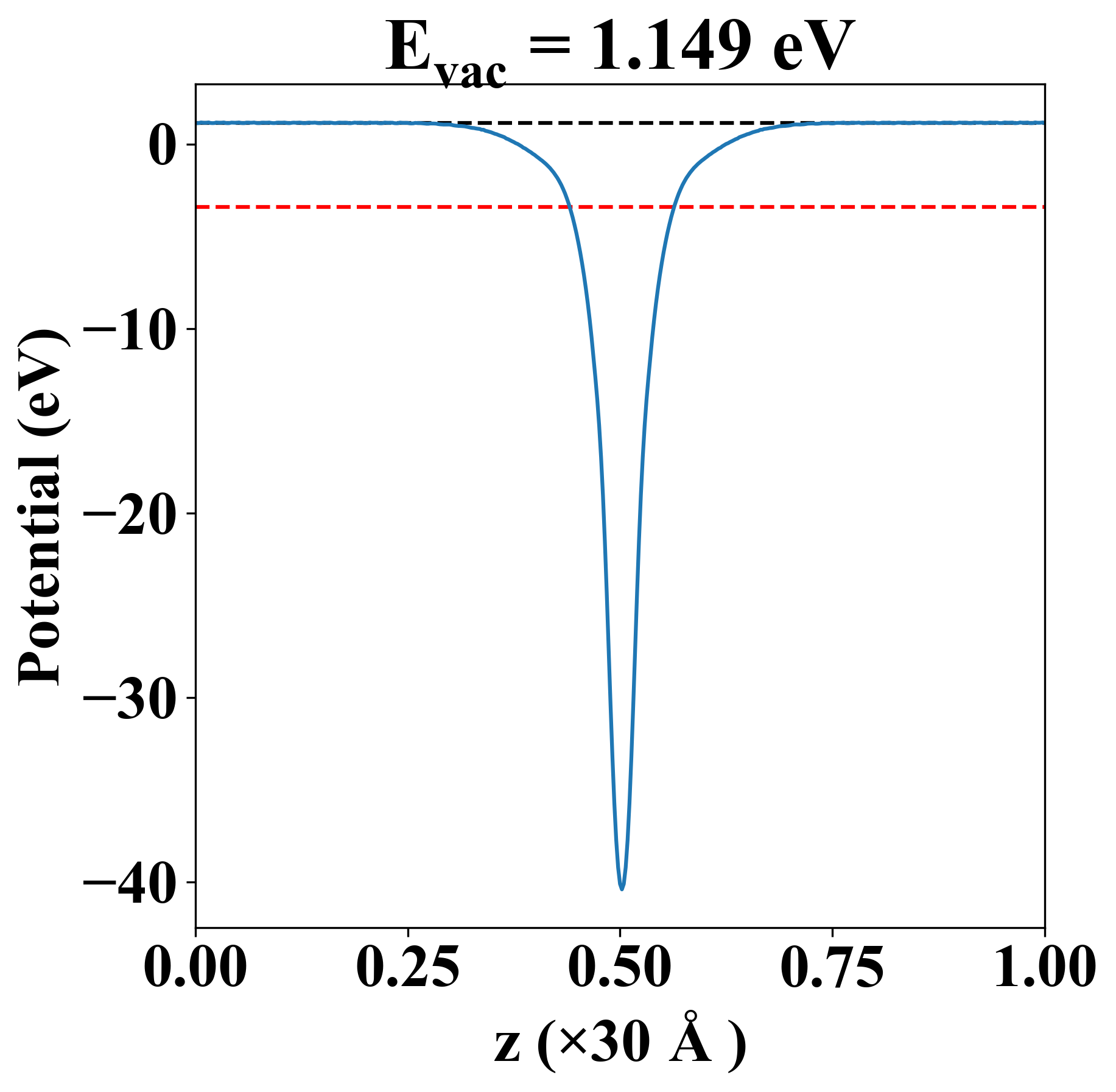
| Vacuum level |
1.149 eV |
| VBM |
-3.411 eV |
| CBM |
-3.405 eV |
| Work function |
4.553 eV |
| Direct gap |
No |
| Property |
Value |
| Band gap |
0.00 eV |
| E-fermi |
-3.405 eV |
| Vacuum level |
1.149 eV |
| VBM |
-3.411 eV |
| CBM |
-3.405 eV |
| Work function |
4.553 eV |
| Cij (N/m) |
xx |
yy |
xy |
| xx |
111.802 |
64.388 |
0.000 |
| yy |
64.388 |
111.802 |
-0.000 |
| xy |
0.000 |
-0.000 |
23.707 |
| Phonon mode at Γ point (THz) |
| -4.393 |
| -3.101 |
| -3.101 |
| -0.012 |
| -0.006 |
| -0.005 |
| 1.764 |
| 1.764 |
| 4.875 |
| 4.875 |
| 5.608 |
| 5.958 |
| 6.589 |
| 15.292 |
| 15.292 |
| 15.491 |
| 16.631 |
| 16.631 |
| 17.015 |
| 17.816 |
| 23.638 |
| 23.638 |
| 24.738 |
| 24.738 |
| Property |
Value |
| from where |
c2db-724 |