N2Si2
MatHub2d-855-N2Si2
| Property |
Value |
| Space group |
(187, 'P-6m2') |
| Crystal system |
hexagonal |
| Magnetic |
No |
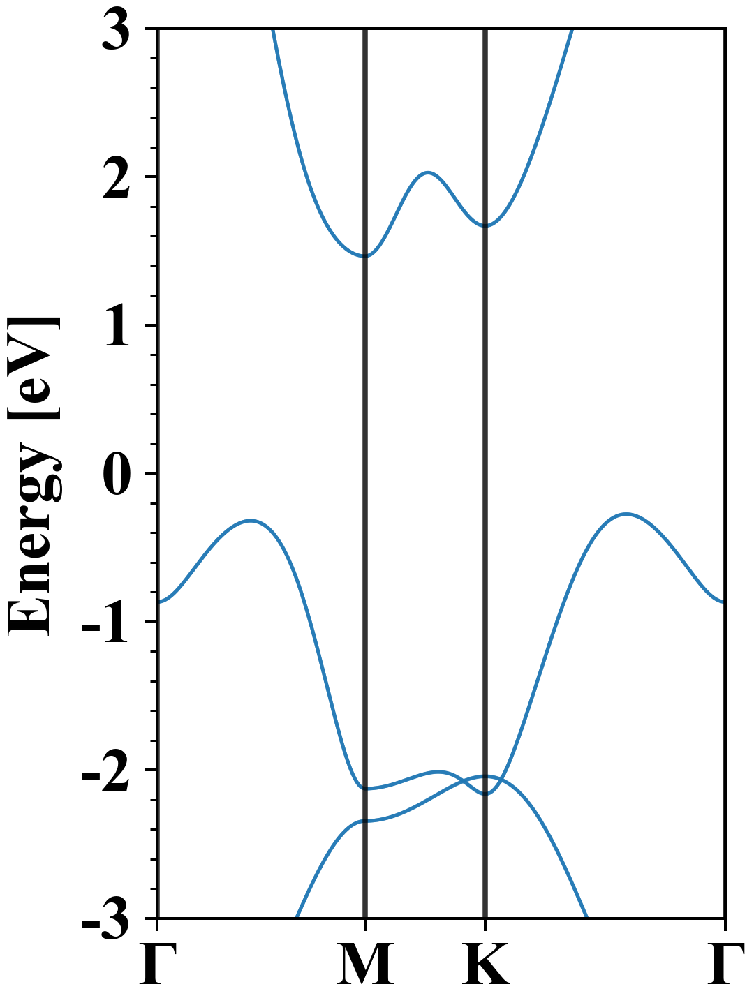
| Band gap (PBE) (eV) |
1.74 |
| Free energy (eV) |
-30.296 |
| Free energy / atom (eV) |
-7.574 |
Lattice Parameters (basic)
| a, b, c (Å): | 2.885 | 2.885 | 30.000 |
| α, β, γ (°): | 90.000 | 90.000 | 120.000 |
Lattice Parameters (computed)
| a, b, c (Å): | 2.899 | 2.899 | 30.000 |
| α, β, γ (°): | 90.000 | 90.000 | 120.000 |
| Property |
Value |
| Band gap |
1.74 eV |
| E-fermi |
-3.215 eV |
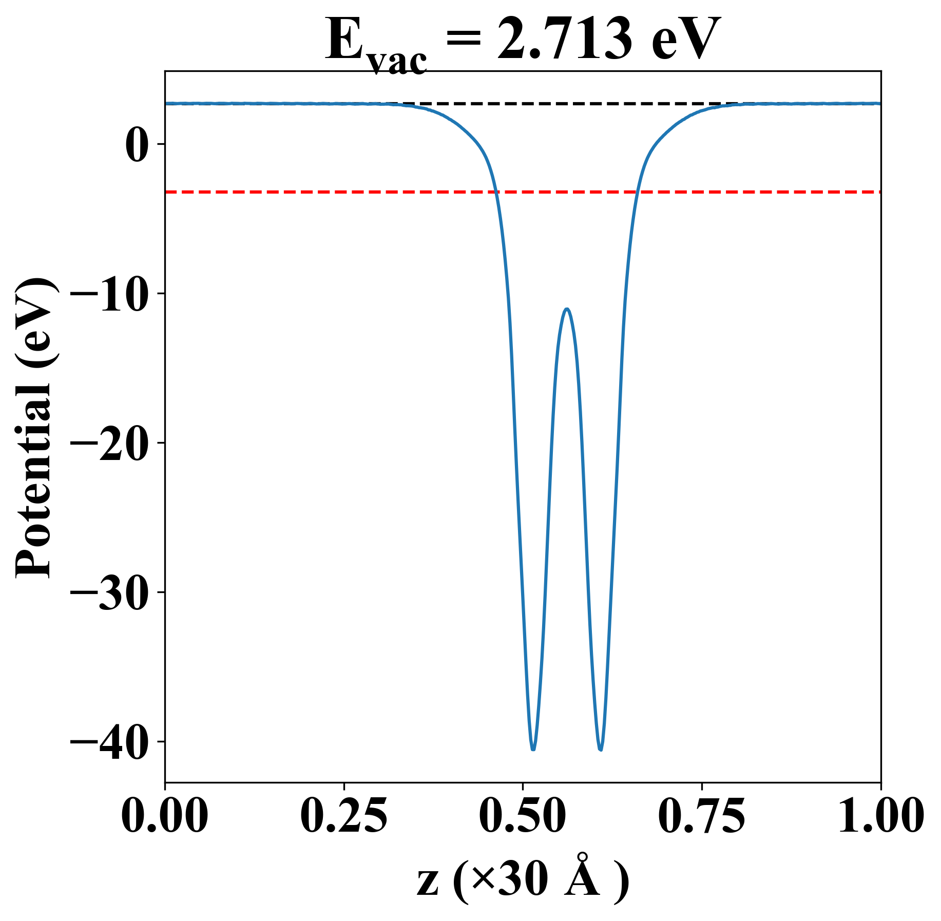
| Vacuum level |
2.713 eV |
| VBM |
-3.438 eV |
| CBM |
-1.696 eV |
| Work function |
5.928 eV |
| Direct gap |
No |
| Property |
Value |
| Band gap |
1.74 eV |
| E-fermi |
-3.175 eV |
| VBM |
-3.450 eV |
| CBM |
-1.711 eV |
| Free energy (eV) |
-30.296 |
| Free energy / atom (eV) |
-7.574 |
| Property |
Value |
| Band gap |
1.74 eV |
| E-fermi |
-3.215 eV |
| Vacuum level |
2.713 eV |
| VBM |
-3.438 eV |
| CBM |
-1.696 eV |
| Work function |
5.928 eV |
| Cij (N/m) |
xx |
yy |
xy |
| xx |
292.285 |
81.421 |
0.000 |
| yy |
81.421 |
292.285 |
-0.000 |
| xy |
0.000 |
-0.000 |
105.432 |
| Phonon mode at Γ point (THz) |
| -0.002 |
| -0.002 |
| -0.001 |
| 4.975 |
| 4.975 |
| 9.117 |
| 19.726 |
| 20.853 |
| 23.920 |
| 23.920 |
| 23.946 |
| 23.946 |
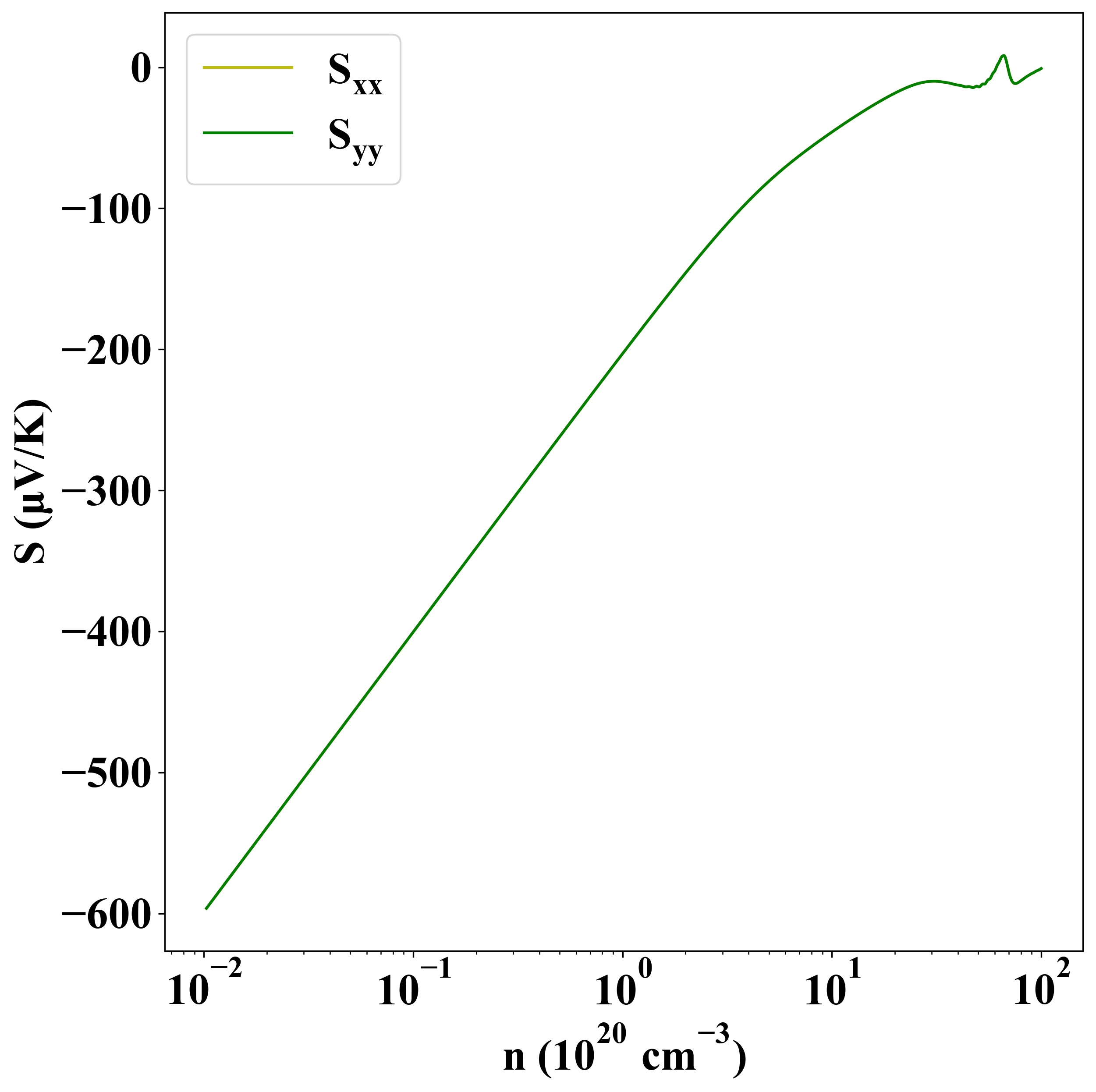
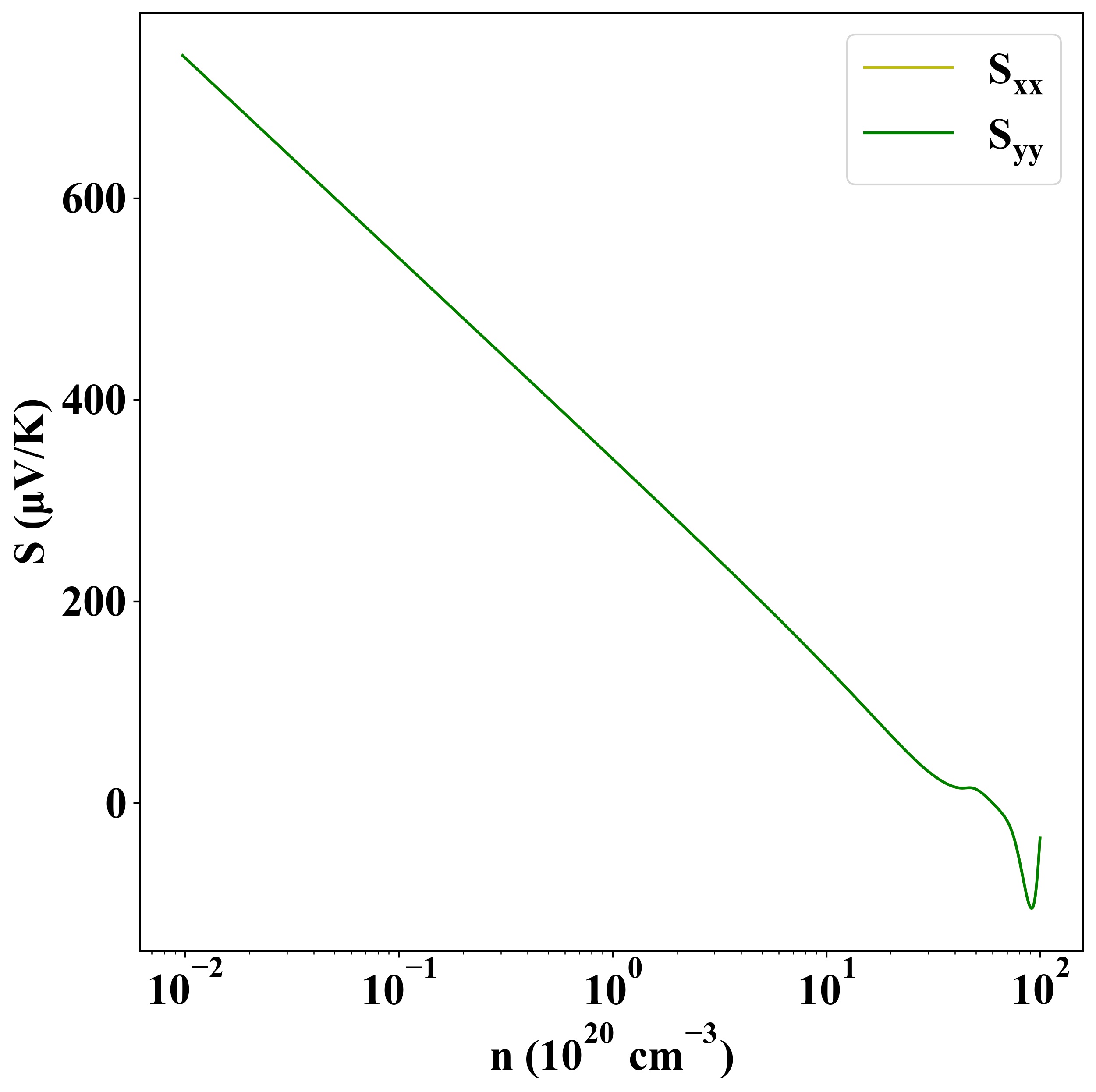
| Carrier type |
C2D (N/m) |
Edef (eV) |
μ (cm2V-1s-1) |
| x |
y |
x |
y |
x |
y |
| hole |
288.36 |
288.18 |
5.25 |
4.41 |
-57.45 |
-81.57 |
| electron |
5.49 |
-3.29 |
262.65 |
730.36 |
| Property |
Value |
| from where |
sz.tsinghua-82 |