N2Si2
MatHub2d-854-N2Si2
| Property |
Value |
| Space group |
(164, 'P-3m1') |
| Crystal system |
hexagonal |
| Magnetic |
No |
| Band gap (PBE) (eV) |
1.91 |
| Free energy (eV) |
-30.244 |
| Free energy / atom (eV) |
-7.561 |
Lattice Parameters (basic)
| a, b, c (Å): | 2.897 | 2.897 | 30.000 |
| α, β, γ (°): | 90.000 | 90.000 | 120.000 |
Lattice Parameters (computed)
| a, b, c (Å): | 2.912 | 2.912 | 30.000 |
| α, β, γ (°): | 90.000 | 90.000 | 120.000 |
| Property |
Value |
| Band gap |
1.91 eV |
| E-fermi |
-3.075 eV |
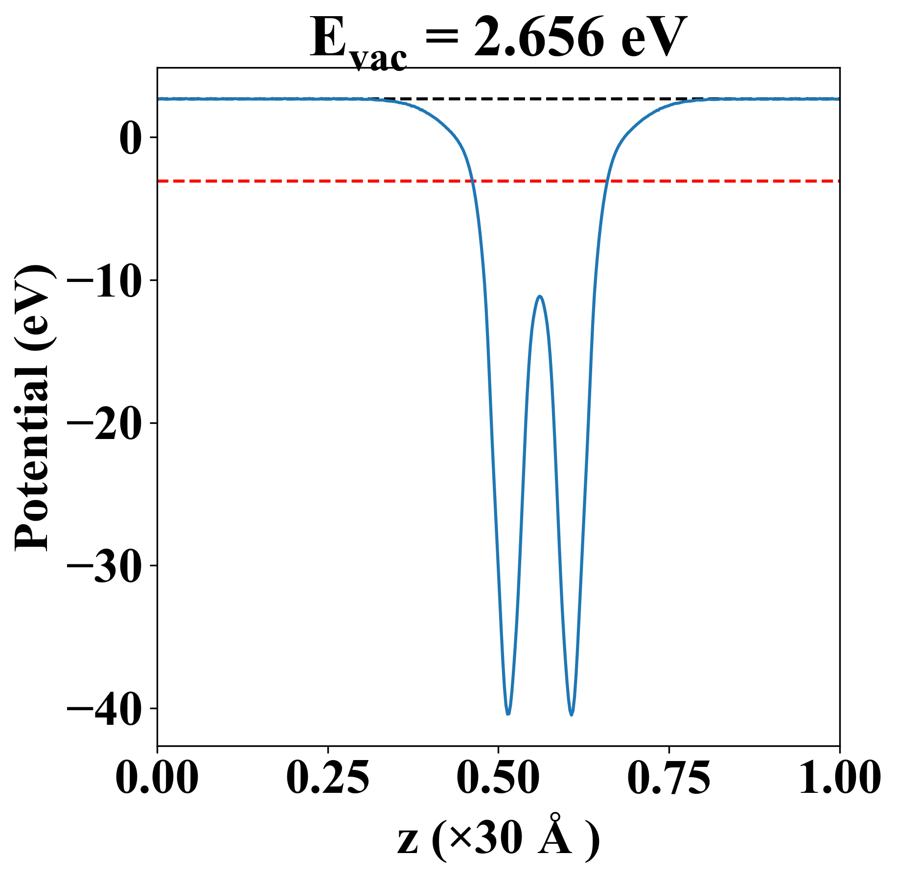
| Vacuum level |
2.656 eV |
| VBM |
-3.326 eV |
| CBM |
-1.418 eV |
| Work function |
5.731 eV |
| Direct gap |
No |
| Property |
Value |
| Band gap |
1.91 eV |
| E-fermi |
-3.075 eV |
| VBM |
-3.338 eV |
| CBM |
-1.432 eV |
| Free energy (eV) |
-30.244 |
| Free energy / atom (eV) |
-7.561 |
| Property |
Value |
| Band gap |
1.91 eV |
| E-fermi |
-3.075 eV |
| Vacuum level |
2.656 eV |
| VBM |
-3.326 eV |
| CBM |
-1.418 eV |
| Work function |
5.731 eV |
| Cij (N/m) |
xx |
yy |
xy |
| xx |
272.929 |
82.380 |
-0.000 |
| yy |
82.380 |
272.929 |
0.000 |
| xy |
-0.000 |
0.000 |
95.274 |
| Phonon mode at Γ point (THz) |
| -0.002 |
| -0.002 |
| 0.000 |
| 5.131 |
| 5.131 |
| 8.980 |
| 19.563 |
| 20.961 |
| 23.385 |
| 23.385 |
| 23.523 |
| 23.523 |
| Property |
Value |
| from where |
sz.tsinghua-83 |