N2Pb6
MatHub2d-853-N2Pb6
| Property |
Value |
| Space group |
(191, 'P6/mmm') |
| Crystal system |
hexagonal |
| Magnetic |
Yes |
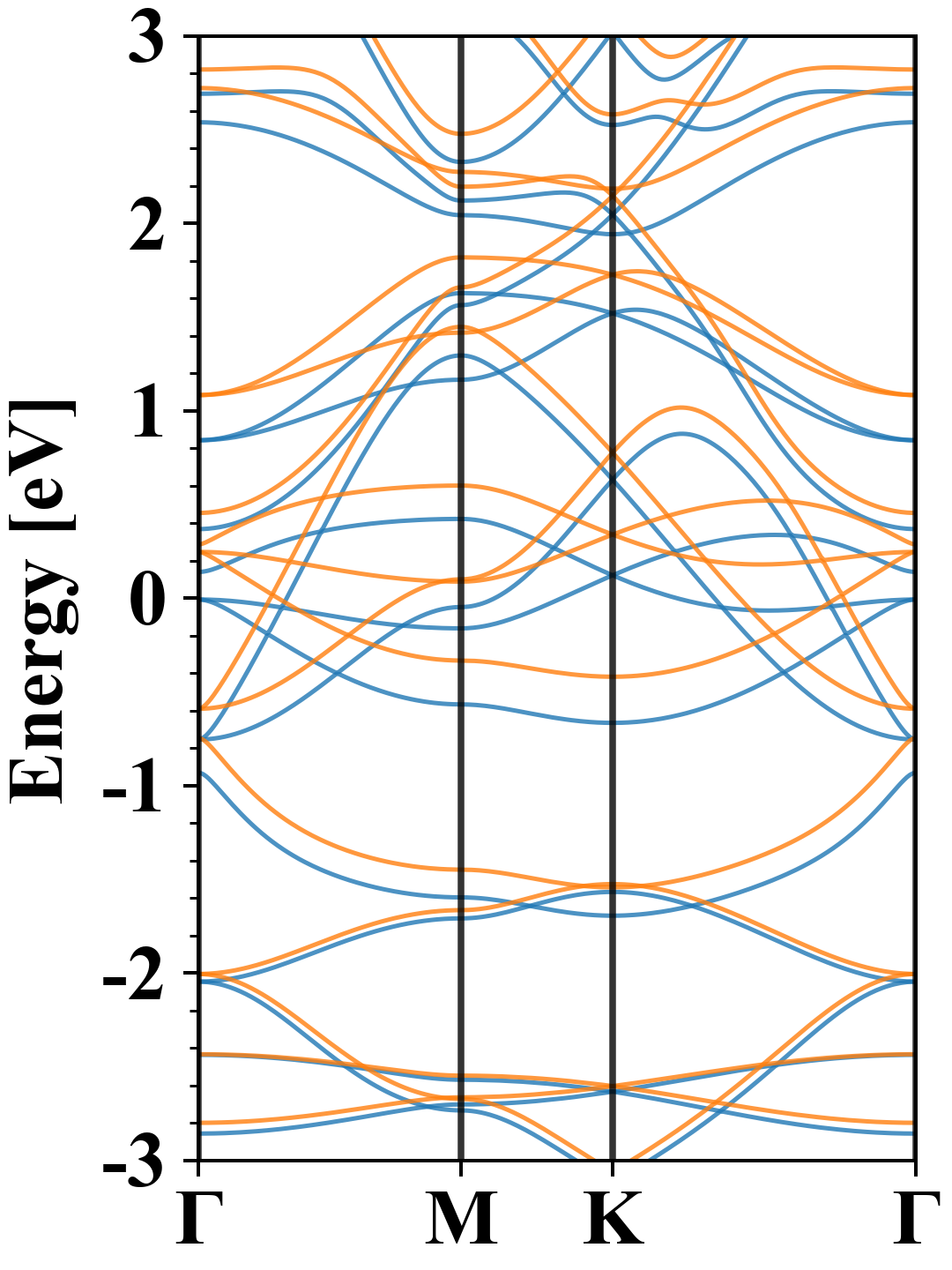
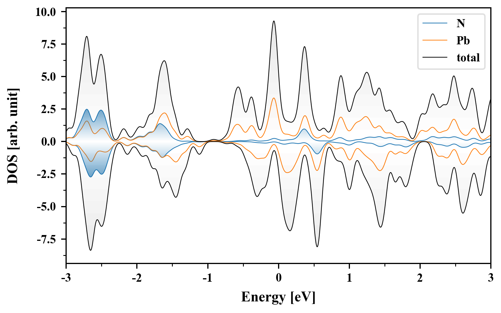
| Band gap (PBE) (eV) |
0.00 |
| Free energy (eV) |
-31.052 |
| Free energy / atom (eV) |
-3.882 |
Lattice Parameters (basic)
| a, b, c (Å): | 9.416 | 9.416 | 30.000 |
| α, β, γ (°): | 90.000 | 90.000 | 120.000 |
Lattice Parameters (computed)
| a, b, c (Å): | 9.395 | 9.395 | 30.000 |
| α, β, γ (°): | 90.000 | 90.000 | 120.000 |
| Property |
Value |
| Band gap |
0.00 eV |
| E-fermi |
-2.728 eV |
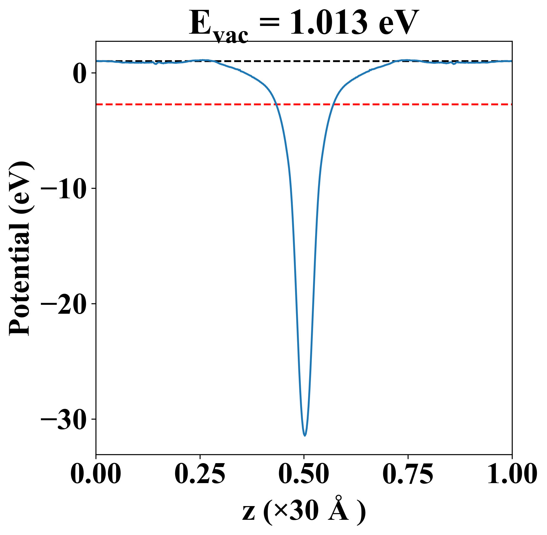
| Vacuum level |
1.013 eV |
| VBM |
-2.729 eV |
| CBM |
-2.728 eV |
| Work function |
3.741 eV |
| Direct gap |
No |
| Property |
Value |
| Band gap |
0.00 eV |
| E-fermi |
-2.728 eV |
| Vacuum level |
1.013 eV |
| VBM |
-2.729 eV |
| CBM |
-2.728 eV |
| Work function |
3.741 eV |
| Cij (N/m) |
xx |
yy |
xy |
| xx |
11.702 |
14.487 |
-0.000 |
| yy |
14.487 |
11.702 |
0.000 |
| xy |
-0.000 |
0.000 |
-1.393 |
| Phonon mode at Γ point (THz) |
| -1.262 |
| -1.154 |
| -0.846 |
| -0.846 |
| -0.485 |
| -0.485 |
| -0.002 |
| -0.001 |
| 0.027 |
| 0.704 |
| 0.704 |
| 0.849 |
| 2.074 |
| 2.074 |
| 2.218 |
| 2.218 |
| 2.399 |
| 3.942 |
| 4.011 |
| 4.425 |
| 14.516 |
| 14.516 |
| 14.718 |
| 14.718 |
| Property |
Value |
| from where |
c2db-727 |