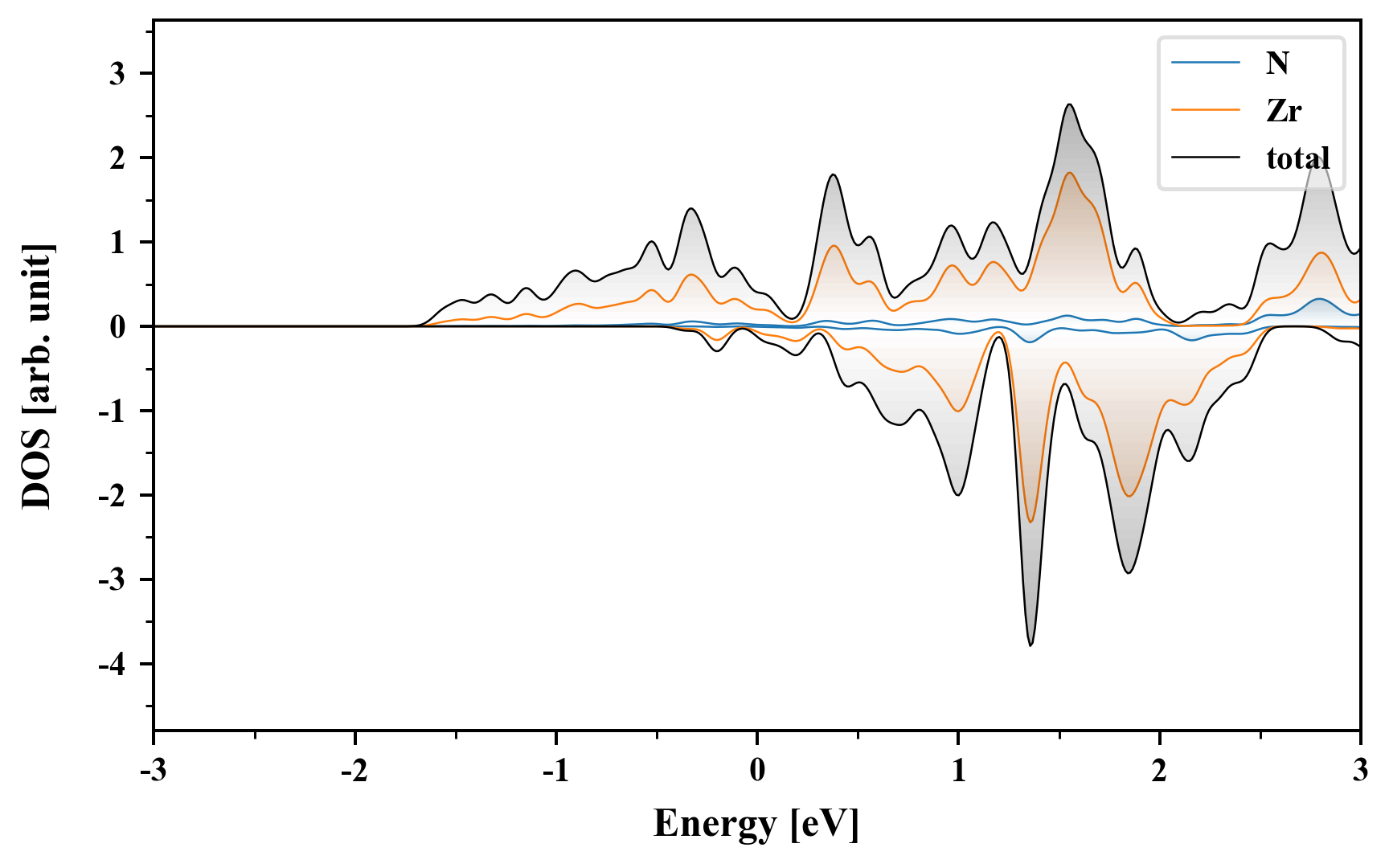
N1Zr1
MatHub2d-850-N1Zr1
| Property |
Value |
| Space group |
(156, 'P3m1') |
| Crystal system |
hexagonal |
| Magnetic |
Yes |
| Band gap (PBE) (eV) |
0.00 |
| Free energy (eV) |
-18.006 |
| Free energy / atom (eV) |
-9.003 |
Lattice Parameters (basic)
| a, b, c (Å): | 3.501 | 3.501 | 30.000 |
| α, β, γ (°): | 90.000 | 90.000 | 120.000 |
Lattice Parameters (computed)
| a, b, c (Å): | 3.494 | 3.494 | 30.000 |
| α, β, γ (°): | 90.000 | 90.000 | 120.000 |
| Property |
Value |
| Band gap |
0.00 eV |
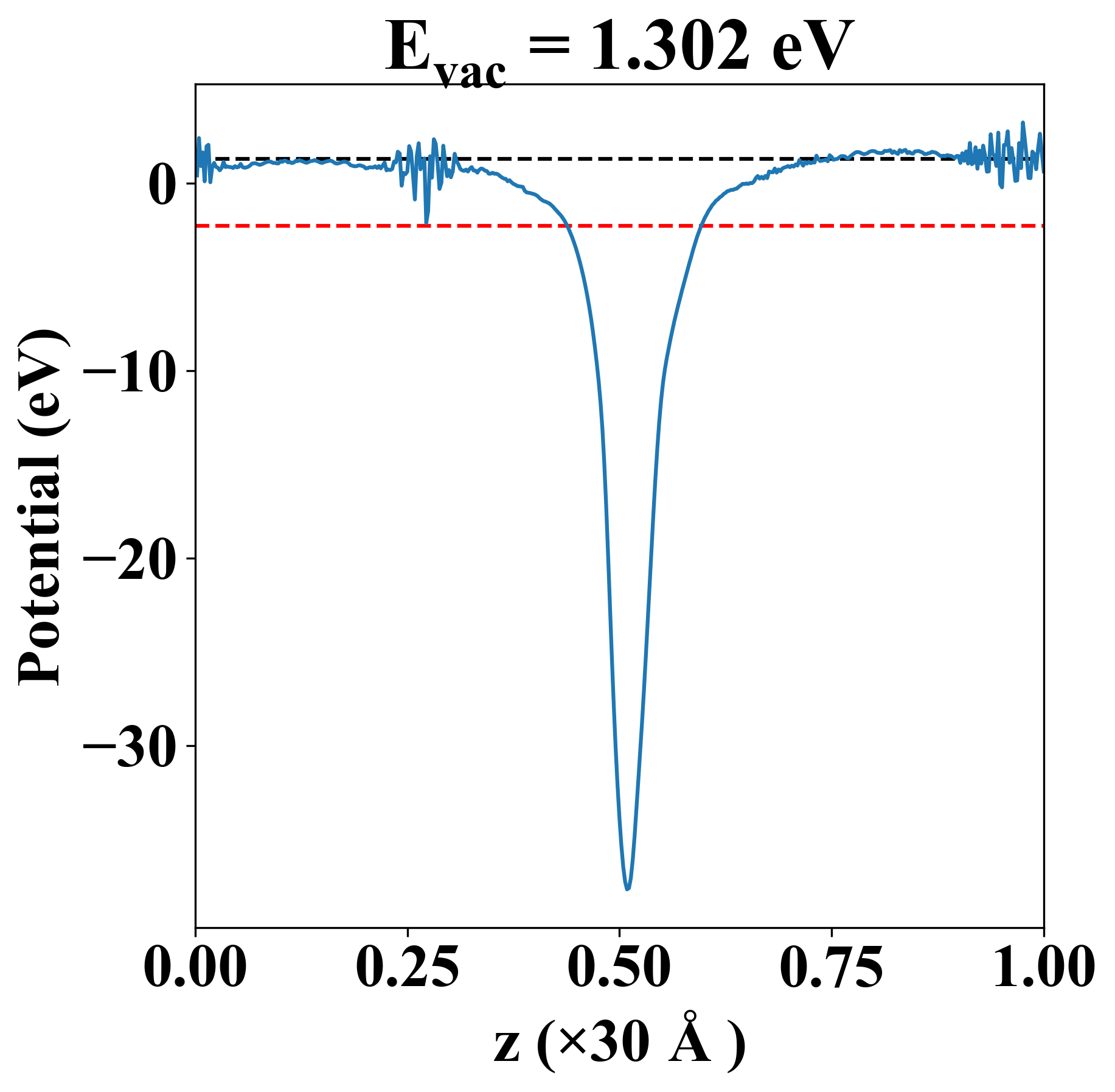
| E-fermi |
-2.279 eV |
| Vacuum level |
1.302 eV |
| VBM |
-2.283 eV |
| CBM |
-2.275 eV |
| Work function |
3.581 eV |
| Direct gap |
No |
| Property |
Value |
| Band gap |
0.00 eV |
| E-fermi |
-2.279 eV |
| Vacuum level |
1.302 eV |
| VBM |
-2.283 eV |
| CBM |
-2.275 eV |
| Work function |
3.581 eV |
| Cij (N/m) |
xx |
yy |
xy |
| xx |
76.114 |
42.618 |
0.000 |
| yy |
42.618 |
76.114 |
-0.000 |
| xy |
0.000 |
-0.000 |
16.748 |
| Phonon mode at Γ point (THz) |
| -0.001 |
| -0.001 |
| -0.001 |
| 10.046 |
| 17.782 |
| 17.782 |
| Property |
Value |
| from where |
JVASP-13560 |