N1Y1
MatHub2d-849-N1Y1
| Property |
Value |
| Space group |
(187, 'P-6m2') |
| Crystal system |
hexagonal |
| Magnetic |
No |
| Band gap (PBE) (eV) |
0.80 |
| Free energy (eV) |
-16.352 |
| Free energy / atom (eV) |
-8.176 |
Lattice Parameters (basic)
| a, b, c (Å): | 3.807 | 3.807 | 30.000 |
| α, β, γ (°): | 90.000 | 90.000 | 120.000 |
Lattice Parameters (computed)
| a, b, c (Å): | 3.801 | 3.801 | 30.000 |
| α, β, γ (°): | 90.000 | 90.000 | 120.000 |
| Property |
Value |
| Band gap |
0.80 eV |
| E-fermi |
-2.260 eV |
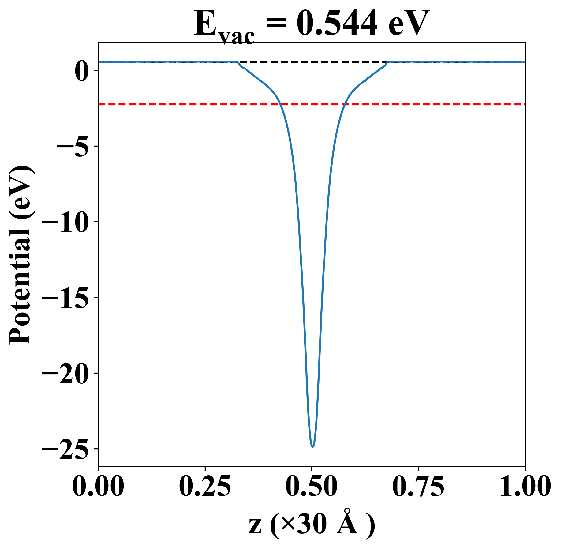
| Vacuum level |
0.544 eV |
| VBM |
-2.622 eV |
| CBM |
-1.820 eV |
| Work function |
2.804 eV |
| Direct gap |
No |
| Property |
Value |
| Band gap |
0.73 eV |
| E-fermi |
-2.301 eV |
| VBM |
-2.572 eV |
| CBM |
-1.841 eV |
| Free energy (eV) |
-16.400 |
| Free energy / atom (eV) |
-8.200 |
| Property |
Value |
| Band gap |
0.80 eV |
| E-fermi |
-2.260 eV |
| Vacuum level |
0.544 eV |
| VBM |
-2.622 eV |
| CBM |
-1.820 eV |
| Work function |
2.804 eV |
| Cij (N/m) |
xx |
yy |
xy |
| xx |
82.160 |
60.985 |
0.000 |
| yy |
60.985 |
82.160 |
-0.000 |
| xy |
0.000 |
-0.000 |
10.588 |
| Phonon mode at Γ point (THz) |
| -0.001 |
| -0.000 |
| -0.000 |
| 6.106 |
| 15.610 |
| 15.610 |
| Property |
Value |
| from where |
JVASP-5871 |