N1W2
MatHub2d-848-N1W2
| Property |
Value |
| Space group |
(164, 'P-3m1') |
| Crystal system |
hexagonal |
| Magnetic |
No |
| Band gap (PBE) (eV) |
0.00 |
| Free energy (eV) |
-26.234 |
| Free energy / atom (eV) |
-8.745 |
Lattice Parameters (basic)
| a, b, c (Å): | 2.777 | 2.777 | 30.000 |
| α, β, γ (°): | 90.000 | 90.000 | 120.000 |
Lattice Parameters (computed)
| a, b, c (Å): | 2.779 | 2.779 | 30.000 |
| α, β, γ (°): | 90.000 | 90.000 | 120.000 |
| Property |
Value |
| Band gap |
0.00 eV |
| E-fermi |
-2.815 eV |
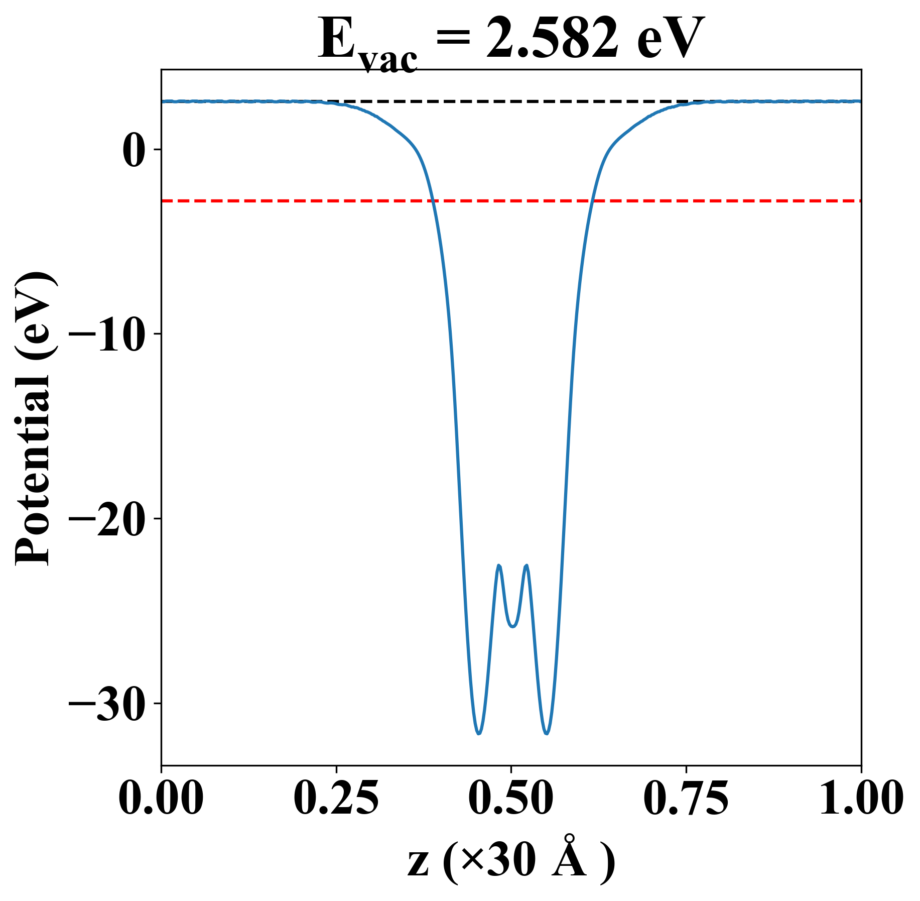
| Vacuum level |
2.582 eV |
| VBM |
-2.824 eV |
| CBM |
-2.811 eV |
| Work function |
5.397 eV |
| Direct gap |
No |
| Property |
Value |
| Band gap |
0.00 eV |
| E-fermi |
-2.815 eV |
| Vacuum level |
2.582 eV |
| VBM |
-2.824 eV |
| CBM |
-2.811 eV |
| Work function |
5.397 eV |
| Cij (N/m) |
xx |
yy |
xy |
| xx |
257.626 |
101.642 |
-0.000 |
| yy |
101.642 |
257.626 |
0.000 |
| xy |
-0.000 |
0.000 |
77.992 |
| Phonon mode at Γ point (THz) |
| -0.001 |
| -0.001 |
| -0.001 |
| 2.545 |
| 2.545 |
| 4.538 |
| 9.129 |
| 9.129 |
| 16.763 |
| Property |
Value |
| from where |
JVASP-13597 |