Mo2Te2
MatHub2d-847-Mo2Te2
| Property |
Value |
| Space group |
(187, 'P-6m2') |
| Crystal system |
hexagonal |
| Magnetic |
No |
| Band gap (PBE) (eV) |
0.00 |
| Free energy (eV) |
-20.696 |
| Free energy / atom (eV) |
-5.174 |
Lattice Parameters (basic)
| a, b, c (Å): | 3.268 | 3.268 | 30.000 |
| α, β, γ (°): | 90.000 | 90.000 | 120.000 |
Lattice Parameters (computed)
| a, b, c (Å): | 3.286 | 3.286 | 30.000 |
| α, β, γ (°): | 90.000 | 90.000 | 120.000 |
| Property |
Value |
| Band gap |
0.00 eV |
| E-fermi |
0.012 eV |
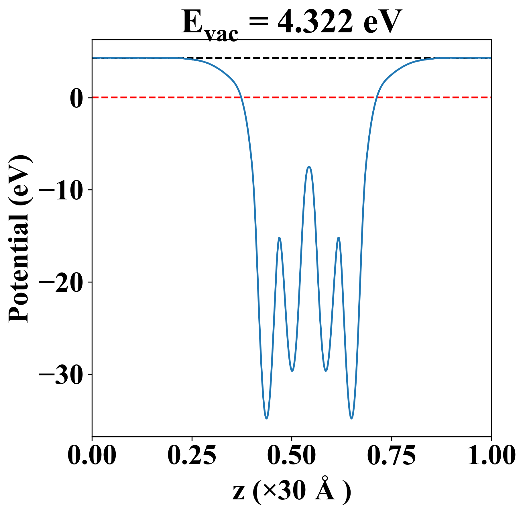
| Vacuum level |
4.322 eV |
| VBM |
0.010 eV |
| CBM |
0.014 eV |
| Work function |
4.310 eV |
| Direct gap |
No |
| Property |
Value |
| Band gap |
0.00 eV |
| E-fermi |
0.012 eV |
| Vacuum level |
4.322 eV |
| VBM |
0.010 eV |
| CBM |
0.014 eV |
| Work function |
4.310 eV |
| Cij (N/m) |
xx |
yy |
xy |
| xx |
127.442 |
7.373 |
-0.000 |
| yy |
7.373 |
127.442 |
0.000 |
| xy |
-0.000 |
0.000 |
60.035 |
| Phonon mode at Γ point (THz) |
| -1.814 |
| -1.814 |
| -0.005 |
| -0.005 |
| -0.002 |
| 3.478 |
| 4.746 |
| 4.746 |
| 4.886 |
| 4.886 |
| 6.479 |
| 8.059 |
| Property |
Value |
| from where |
c2db-1655 |