Mo2Se2
MatHub2d-846-Mo2Se2
| Property |
Value |
| Space group |
(187, 'P-6m2') |
| Crystal system |
hexagonal |
| Magnetic |
No |
| Band gap (PBE) (eV) |
0.00 |
| Free energy (eV) |
-23.041 |
| Free energy / atom (eV) |
-5.760 |
Lattice Parameters (basic)
| a, b, c (Å): | 3.134 | 3.134 | 30.000 |
| α, β, γ (°): | 90.000 | 90.000 | 120.000 |
Lattice Parameters (computed)
| a, b, c (Å): | 3.144 | 3.144 | 30.000 |
| α, β, γ (°): | 90.000 | 90.000 | 120.000 |
| Property |
Value |
| Band gap |
0.00 eV |
| E-fermi |
-1.158 eV |
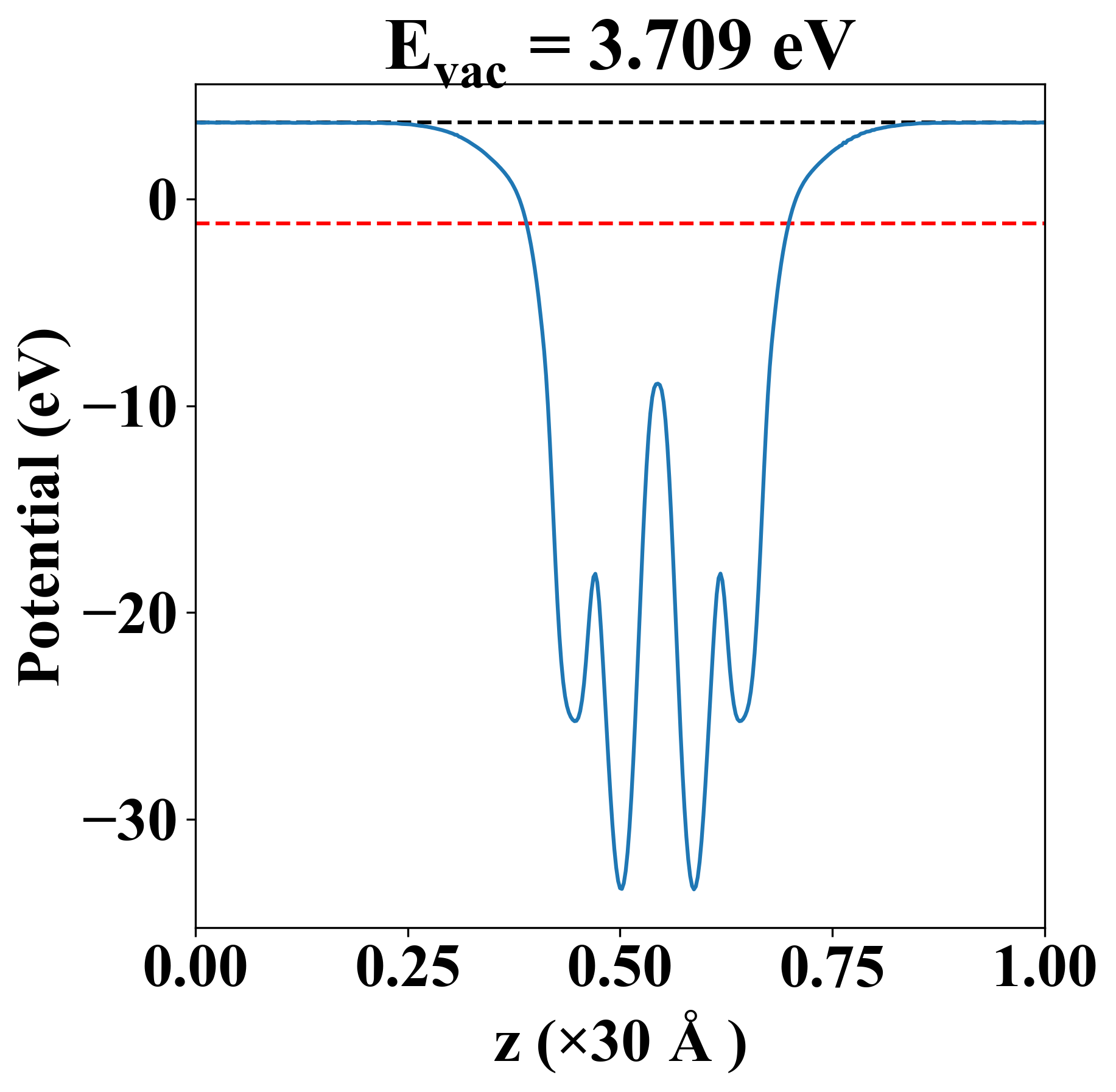
| Vacuum level |
3.709 eV |
| VBM |
-1.159 eV |
| CBM |
-1.156 eV |
| Work function |
4.866 eV |
| Direct gap |
No |
| Property |
Value |
| Band gap |
0.00 eV |
| E-fermi |
-1.158 eV |
| Vacuum level |
3.709 eV |
| VBM |
-1.159 eV |
| CBM |
-1.156 eV |
| Work function |
4.866 eV |
| Cij (N/m) |
xx |
yy |
xy |
| xx |
136.181 |
18.137 |
-0.000 |
| yy |
18.137 |
136.181 |
0.000 |
| xy |
-0.000 |
0.000 |
59.022 |
| Phonon mode at Γ point (THz) |
| -2.552 |
| -2.552 |
| -0.002 |
| -0.002 |
| -0.001 |
| 4.217 |
| 5.979 |
| 5.979 |
| 6.179 |
| 6.179 |
| 8.303 |
| 9.343 |
| Property |
Value |
| from where |
c2db-1654 |