Mo2S2Se2
MatHub2d-845-Mo2S2Se2
| Property |
Value |
| Space group |
(156, 'P3m1') |
| Crystal system |
hexagonal |
| Magnetic |
No |
| Band gap (PBE) (eV) |
0.65 |
| Free energy (eV) |
-36.030 |
| Free energy / atom (eV) |
-6.005 |
Lattice Parameters (basic)
| a, b, c (Å): | 3.259 | 3.259 | 30.000 |
| α, β, γ (°): | 90.000 | 90.000 | 120.000 |
Lattice Parameters (computed)
| a, b, c (Å): | 3.260 | 3.260 | 30.000 |
| α, β, γ (°): | 90.000 | 90.000 | 120.000 |
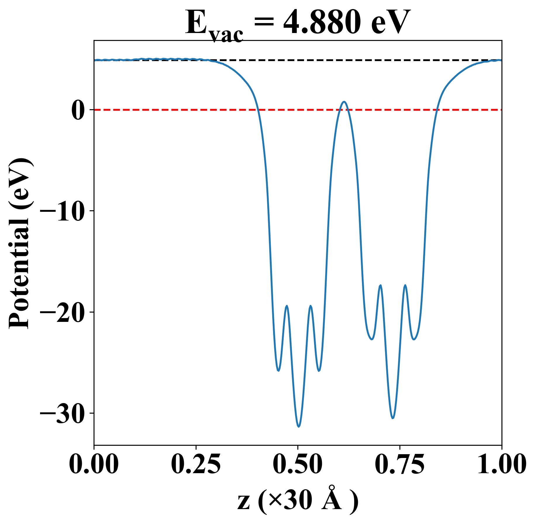
| Property |
Value |
| Band gap |
0.65 eV |
| E-fermi |
-0.025 eV |
| Vacuum level |
4.880 eV |
| VBM |
-0.256 eV |
| CBM |
0.398 eV |
| Work function |
4.904 eV |
| Direct gap |
Yes |
| Property |
Value |
| Band gap |
0.53 eV |
| E-fermi |
0.137 eV |
| VBM |
-0.139 eV |
| CBM |
0.393 eV |
| Free energy (eV) |
-36.272 |
| Free energy / atom (eV) |
-6.045 |
| Property |
Value |
| Band gap |
0.65 eV |
| E-fermi |
-0.025 eV |
| Vacuum level |
4.880 eV |
| VBM |
-0.256 eV |
| CBM |
0.398 eV |
| Work function |
4.904 eV |
| Cij (N/m) |
xx |
yy |
xy |
| xx |
236.944 |
55.116 |
-0.000 |
| yy |
55.116 |
236.944 |
0.000 |
| xy |
-0.000 |
0.000 |
90.914 |
| Phonon mode at Γ point (THz) |
| -0.024 |
| -0.012 |
| -0.012 |
| 0.293 |
| 0.293 |
| 0.452 |
| 4.862 |
| 4.862 |
| 6.994 |
| 7.965 |
| 7.965 |
| 8.350 |
| 8.350 |
| 10.306 |
| 10.686 |
| 10.686 |
| 11.632 |
| 13.240 |
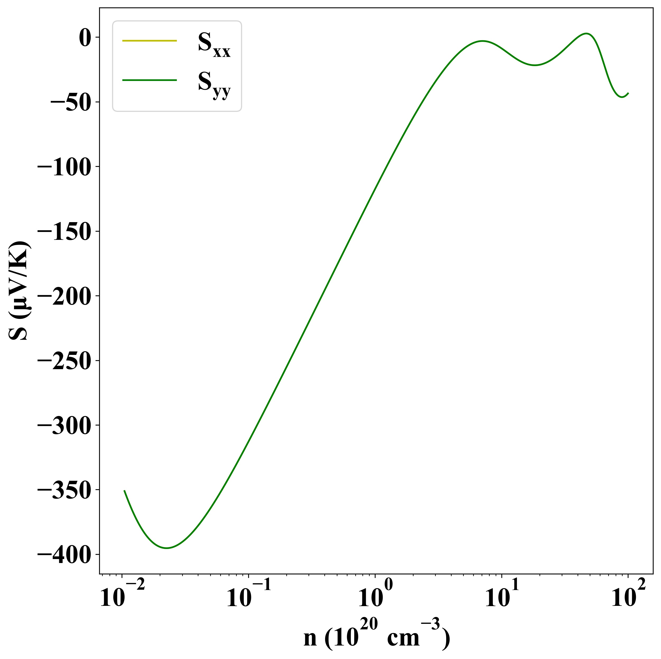
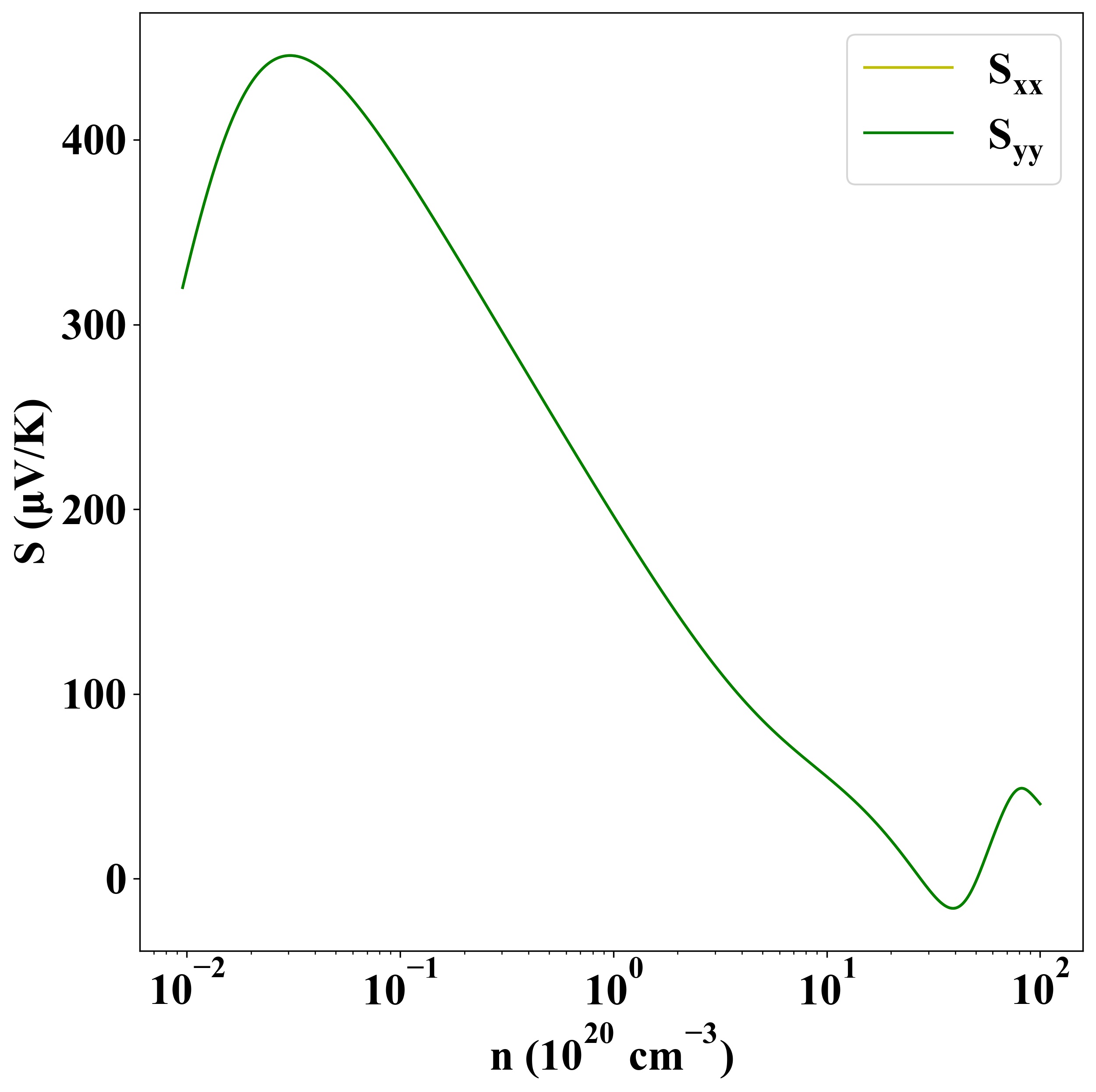
| Carrier type |
C2D (N/m) |
Edef (eV) |
μ (cm2V-1s-1) |
| x |
y |
x |
y |
x |
y |
| hole |
244.78 |
248.22 |
-2.04 |
-1.93 |
-428.97 |
-487.18 |
| electron |
-7.95 |
-7.68 |
37.59 |
40.81 |
| Property |
Value |
| from where |
shu-40 |