Mo2S2
MatHub2d-844-Mo2S2
| Property |
Value |
| Space group |
(187, 'P-6m2') |
| Crystal system |
hexagonal |
| Magnetic |
|
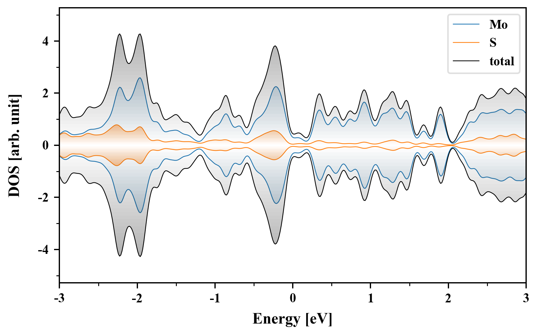
| Band gap (PBE) (eV) |
0.00 |
| Free energy (eV) |
-25.089 |
| Free energy / atom (eV) |
-6.272 |
Lattice Parameters (basic)
| a, b, c (Å): | 3.081 | 3.081 | 30.000 |
| α, β, γ (°): | 90.000 | 90.000 | 120.000 |
Lattice Parameters (computed)
| a, b, c (Å): | 3.084 | 3.084 | 30.000 |
| α, β, γ (°): | 90.000 | 90.000 | 120.000 |
| Property |
Value |
| Band gap |
0.00 eV |
| E-fermi |
-1.600 eV |
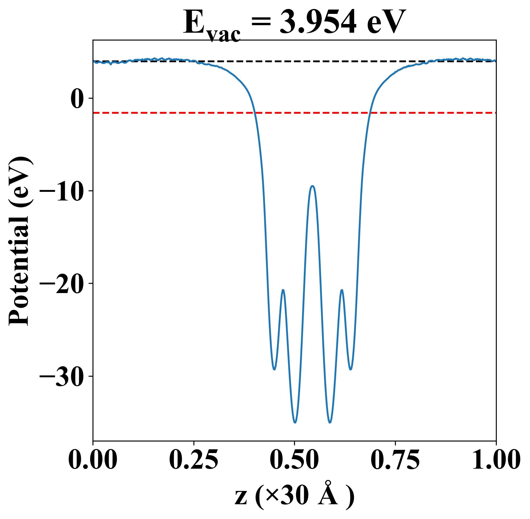
| Vacuum level |
3.954 eV |
| VBM |
-1.600 eV |
| CBM |
-1.598 eV |
| Work function |
5.554 eV |
| Direct gap |
No |
| Property |
Value |
| Band gap |
0.00 eV |
| E-fermi |
-1.600 eV |
| Vacuum level |
3.954 eV |
| VBM |
-1.600 eV |
| CBM |
-1.598 eV |
| Work function |
5.554 eV |
| Cij (N/m) |
xx |
yy |
xy |
| xx |
108.211 |
5.999 |
0.000 |
| yy |
5.999 |
108.211 |
-0.000 |
| xy |
0.000 |
-0.000 |
51.106 |
| Phonon mode at Γ point (THz) |
| -3.234 |
| -3.234 |
| -0.003 |
| -0.003 |
| -0.001 |
| 5.210 |
| 8.646 |
| 8.646 |
| 8.670 |
| 8.670 |
| 11.592 |
| 12.039 |
| Property |
Value |
| from where |
c2db-1653 |