Mo2O2
MatHub2d-843-Mo2O2
| Property |
Value |
| Space group |
(187, 'P-6m2') |
| Crystal system |
hexagonal |
| Magnetic |
No |
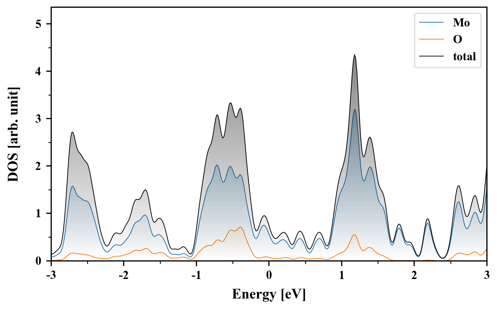
| Band gap (PBE) (eV) |
0.01 |
| Free energy (eV) |
-30.294 |
| Free energy / atom (eV) |
-7.574 |
Lattice Parameters (basic)
| a, b, c (Å): | 2.933 | 2.933 | 30.000 |
| α, β, γ (°): | 90.000 | 90.000 | 120.000 |
Lattice Parameters (computed)
| a, b, c (Å): | 2.935 | 2.935 | 30.000 |
| α, β, γ (°): | 90.000 | 90.000 | 120.000 |
| Property |
Value |
| Band gap |
0.01 eV |
| E-fermi |
-3.150 eV |
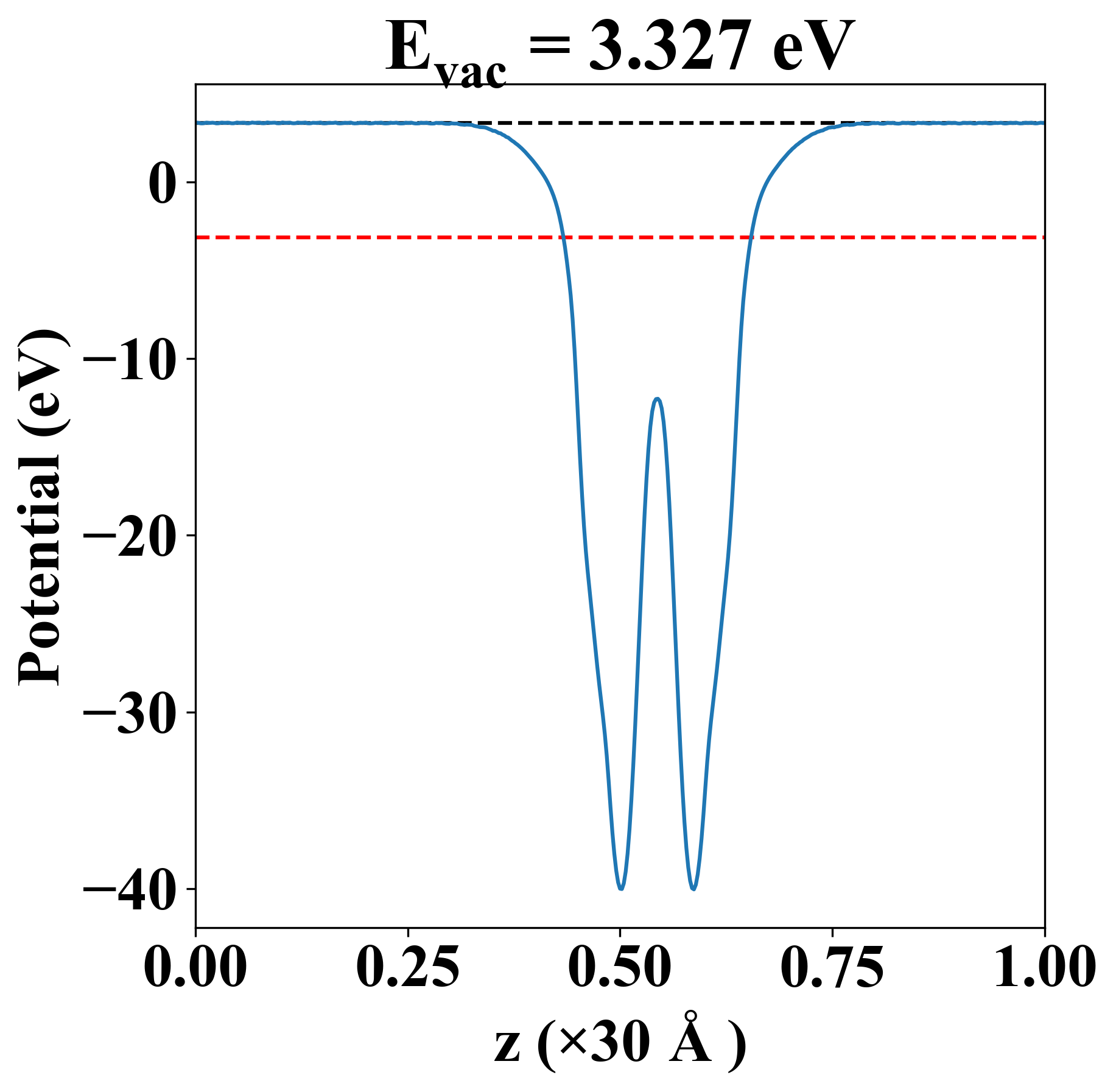
| Vacuum level |
3.327 eV |
| VBM |
-3.153 eV |
| CBM |
-3.143 eV |
| Work function |
6.477 eV |
| Direct gap |
No |
| Property |
Value |
| Band gap |
0.01 eV |
| E-fermi |
-3.150 eV |
| Vacuum level |
3.327 eV |
| VBM |
-3.153 eV |
| CBM |
-3.143 eV |
| Work function |
6.477 eV |
| Cij (N/m) |
xx |
yy |
xy |
| xx |
131.956 |
85.864 |
0.000 |
| yy |
85.864 |
131.956 |
-0.000 |
| xy |
0.000 |
-0.000 |
23.046 |
| Phonon mode at Γ point (THz) |
| -3.354 |
| -3.354 |
| -0.004 |
| -0.004 |
| -0.003 |
| 6.737 |
| 10.102 |
| 10.102 |
| 12.900 |
| 12.900 |
| 16.484 |
| 18.019 |
| Property |
Value |
| from where |
c2db-1652 |