Mo2N2
MatHub2d-842-Mo2N2
| Property |
Value |
| Space group |
(191, 'P6/mmm') |
| Crystal system |
hexagonal |
| Magnetic |
No |
| Band gap (PBE) (eV) |
0.00 |
| Free energy (eV) |
-25.191 |
| Free energy / atom (eV) |
-6.298 |
Lattice Parameters (basic)
| a, b, c (Å): | 3.377 | 3.377 | 30.000 |
| α, β, γ (°): | 90.000 | 90.000 | 120.000 |
Lattice Parameters (computed)
| a, b, c (Å): | 3.372 | 3.372 | 30.000 |
| α, β, γ (°): | 90.000 | 90.000 | 120.000 |
| Property |
Value |
| Band gap |
0.00 eV |
| E-fermi |
-2.510 eV |
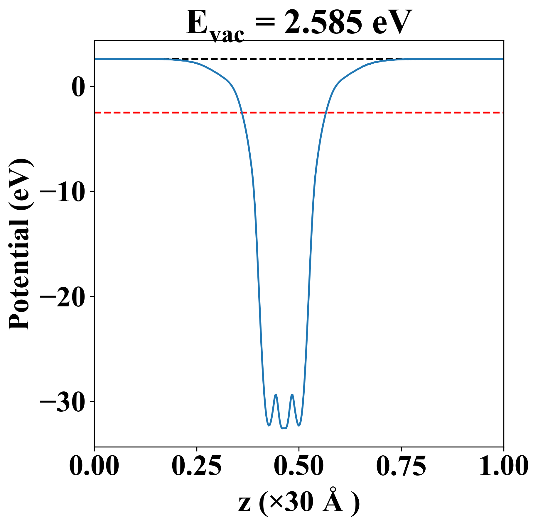
| Vacuum level |
2.585 eV |
| VBM |
-2.510 eV |
| CBM |
-2.508 eV |
| Work function |
5.095 eV |
| Direct gap |
No |
| Property |
Value |
| Band gap |
0.00 eV |
| E-fermi |
-2.510 eV |
| Vacuum level |
2.585 eV |
| VBM |
-2.510 eV |
| CBM |
-2.508 eV |
| Work function |
5.095 eV |
| Cij (N/m) |
xx |
yy |
xy |
| xx |
102.873 |
146.999 |
-0.000 |
| yy |
146.999 |
102.873 |
0.000 |
| xy |
-0.000 |
0.000 |
-22.063 |
| Phonon mode at Γ point (THz) |
| -7.660 |
| -2.252 |
| -0.001 |
| -0.001 |
| 0.028 |
| 3.175 |
| 3.175 |
| 3.897 |
| 3.897 |
| 7.954 |
| 7.954 |
| 10.928 |
| Property |
Value |
| from where |
JVASP-13586 |