Mo1Te2
MatHub2d-841-Mo1Te2
| Property |
Value |
| Space group |
(187, 'P-6m2') |
| Crystal system |
hexagonal |
| Magnetic |
No |
| Band gap (PBE) (eV) |
1.07 |
| Free energy (eV) |
-15.148 |
| Free energy / atom (eV) |
-5.049 |
Lattice Parameters (basic)
| a, b, c (Å): | 3.547 | 3.547 | 30.000 |
| α, β, γ (°): | 90.000 | 90.000 | 120.000 |
Lattice Parameters (computed)
| a, b, c (Å): | 3.562 | 3.562 | 30.000 |
| α, β, γ (°): | 90.000 | 90.000 | 120.000 |
| Property |
Value |
| Band gap |
1.07 eV |
| E-fermi |
-1.703 eV |
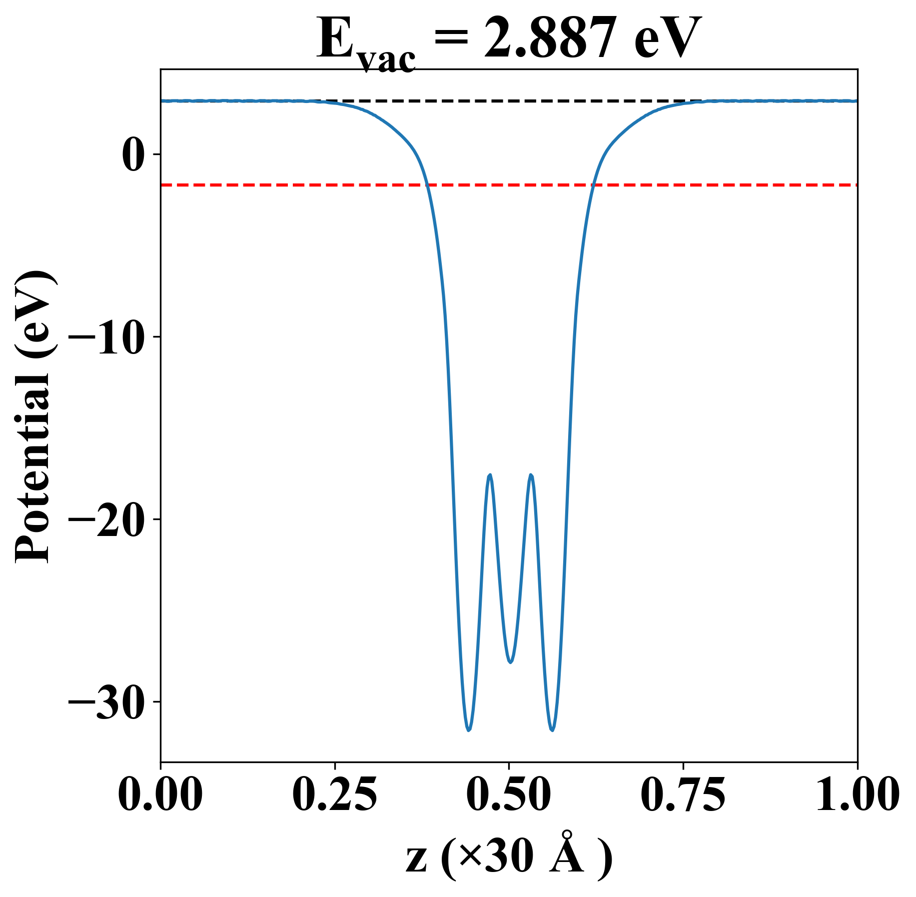
| Vacuum level |
2.887 eV |
| VBM |
-1.912 eV |
| CBM |
-0.839 eV |
| Work function |
4.590 eV |
| Direct gap |
Yes |
| Property |
Value |
| Band gap |
0.90 eV |
| E-fermi |
-1.389 eV |
| VBM |
-1.754 eV |
| CBM |
-0.849 eV |
| Free energy (eV) |
-15.452 |
| Free energy / atom (eV) |
-5.151 |
| Property |
Value |
| Band gap |
1.07 eV |
| E-fermi |
-1.703 eV |
| Vacuum level |
2.887 eV |
| VBM |
-1.912 eV |
| CBM |
-0.839 eV |
| Work function |
4.590 eV |
| Cij (N/m) |
xx |
yy |
xy |
| xx |
81.333 |
18.702 |
-0.000 |
| yy |
18.702 |
81.333 |
-0.000 |
| xy |
-0.000 |
-0.000 |
31.315 |
| Phonon mode at Γ point (THz) |
| -0.001 |
| -0.001 |
| -0.001 |
| 3.374 |
| 3.374 |
| 4.983 |
| 6.795 |
| 6.795 |
| 8.419 |
| Carrier type |
C2D (N/m) |
Edef (eV) |
μ (cm2V-1s-1) |
| x |
y |
x |
y |
x |
y |
| hole |
79.28 |
79.46 |
-1.89 |
-1.91 |
-177.04 |
-172.49 |
| electron |
-6.24 |
-6.26 |
8.77 |
8.72 |
| Property |
Value |
| from where |
c2db-533 |