Mo1Te2
MatHub2d-840-Mo1Te2
| Property |
Value |
| Space group |
(164, 'P-3m1') |
| Crystal system |
hexagonal |
| Magnetic |
No |
| Band gap (PBE) (eV) |
0.00 |
| Free energy (eV) |
-14.654 |
| Free energy / atom (eV) |
-4.885 |
Lattice Parameters (basic)
| a, b, c (Å): | 3.473 | 3.473 | 30.000 |
| α, β, γ (°): | 90.000 | 90.000 | 120.000 |
Lattice Parameters (computed)
| a, b, c (Å): | 3.519 | 3.519 | 30.000 |
| α, β, γ (°): | 90.000 | 90.000 | 120.000 |
| Property |
Value |
| Band gap |
0.00 eV |
| E-fermi |
-1.138 eV |
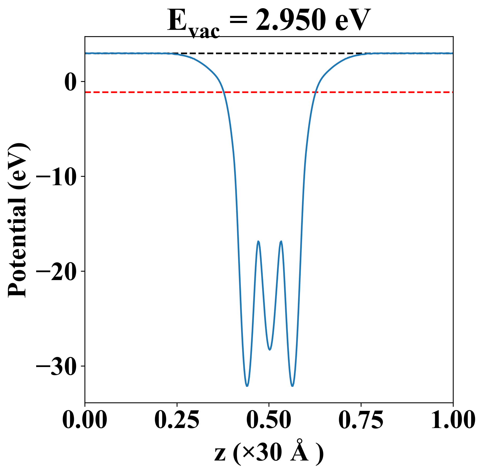
| Vacuum level |
2.950 eV |
| VBM |
-1.145 eV |
| CBM |
-1.135 eV |
| Work function |
4.088 eV |
| Direct gap |
No |
| Property |
Value |
| Band gap |
0.00 eV |
| E-fermi |
-1.138 eV |
| Vacuum level |
2.950 eV |
| VBM |
-1.145 eV |
| CBM |
-1.135 eV |
| Work function |
4.088 eV |
| Cij (N/m) |
xx |
yy |
xy |
| xx |
81.353 |
-1.061 |
0.000 |
| yy |
-1.061 |
81.353 |
0.000 |
| xy |
0.000 |
0.000 |
41.207 |
| Phonon mode at Γ point (THz) |
| -0.002 |
| -0.002 |
| -0.001 |
| 3.228 |
| 3.228 |
| 4.648 |
| 4.964 |
| 4.964 |
| 7.182 |
| Property |
Value |
| from where |
sz.tsinghua-66 |