Mo1Se2
MatHub2d-839-Mo1Se2
| Property |
Value |
| Space group |
(187, 'P-6m2') |
| Crystal system |
hexagonal |
| Magnetic |
No |
| Band gap (PBE) (eV) |
1.39 |
| Free energy (eV) |
-17.122 |
| Free energy / atom (eV) |
-5.707 |
Lattice Parameters (basic)
| a, b, c (Å): | 3.320 | 3.320 | 30.000 |
| α, β, γ (°): | 90.000 | 90.000 | 120.000 |
Lattice Parameters (computed)
| a, b, c (Å): | 3.331 | 3.331 | 30.000 |
| α, β, γ (°): | 90.000 | 90.000 | 120.000 |
| Property |
Value |
| Band gap |
1.39 eV |
| E-fermi |
-2.548 eV |
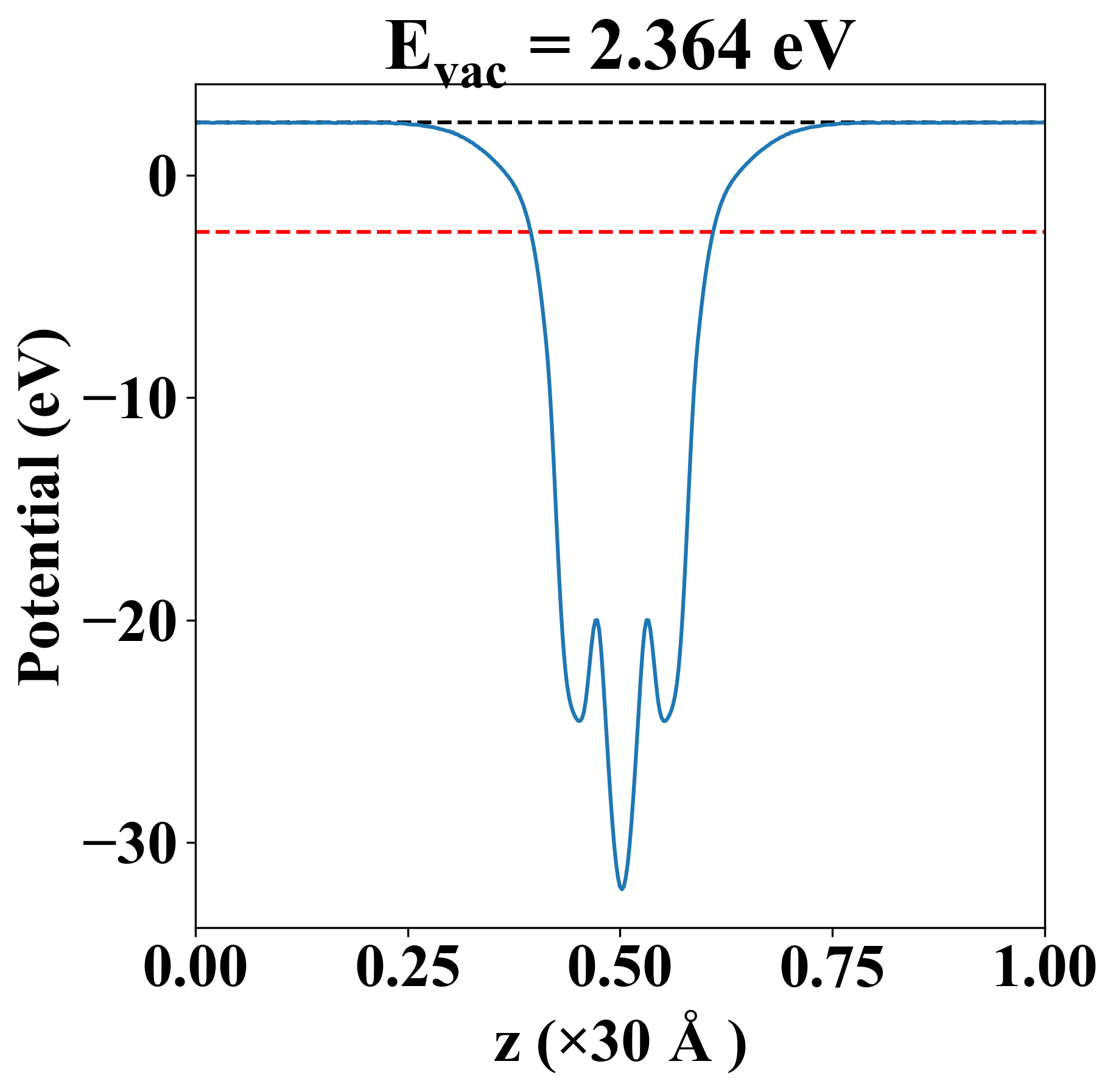
| Vacuum level |
2.364 eV |
| VBM |
-2.898 eV |
| CBM |
-1.504 eV |
| Work function |
4.912 eV |
| Direct gap |
Yes |
| Property |
Value |
| Band gap |
1.26 eV |
| E-fermi |
-2.372 eV |
| VBM |
-2.798 eV |
| CBM |
-1.536 eV |
| Free energy (eV) |
-17.264 |
| Free energy / atom (eV) |
-5.755 |
| Property |
Value |
| Band gap |
1.39 eV |
| E-fermi |
-2.548 eV |
| Vacuum level |
2.364 eV |
| VBM |
-2.898 eV |
| CBM |
-1.504 eV |
| Work function |
4.912 eV |
| Cij (N/m) |
xx |
yy |
xy |
| xx |
107.123 |
24.382 |
0.000 |
| yy |
24.382 |
107.123 |
-0.000 |
| xy |
0.000 |
-0.000 |
41.371 |
| Phonon mode at Γ point (THz) |
| -0.001 |
| -0.001 |
| -0.001 |
| 4.794 |
| 4.794 |
| 6.950 |
| 8.192 |
| 8.192 |
| 10.155 |
| Carrier type |
C2D (N/m) |
Edef (eV) |
μ (cm2V-1s-1) |
| x |
y |
x |
y |
x |
y |
| hole |
105.34 |
105.30 |
-2.61 |
-2.58 |
-158.08 |
-162.24 |
| electron |
-7.76 |
-7.73 |
8.04 |
8.10 |
| Property |
Value |
| from where |
c2db-531 |