Mo1Se2
MatHub2d-838-Mo1Se2
| Property |
Value |
| Space group |
(164, 'P-3m1') |
| Crystal system |
hexagonal |
| Magnetic |
No |
| Band gap (PBE) (eV) |
0.00 |
| Free energy (eV) |
-16.429 |
| Free energy / atom (eV) |
-5.476 |
Lattice Parameters (basic)
| a, b, c (Å): | 3.269 | 3.269 | 30.000 |
| α, β, γ (°): | 90.000 | 90.000 | 120.000 |
Lattice Parameters (computed)
| a, b, c (Å): | 3.300 | 3.300 | 30.000 |
| α, β, γ (°): | 90.000 | 90.000 | 120.000 |
| Property |
Value |
| Band gap |
0.00 eV |
| E-fermi |
-2.029 eV |
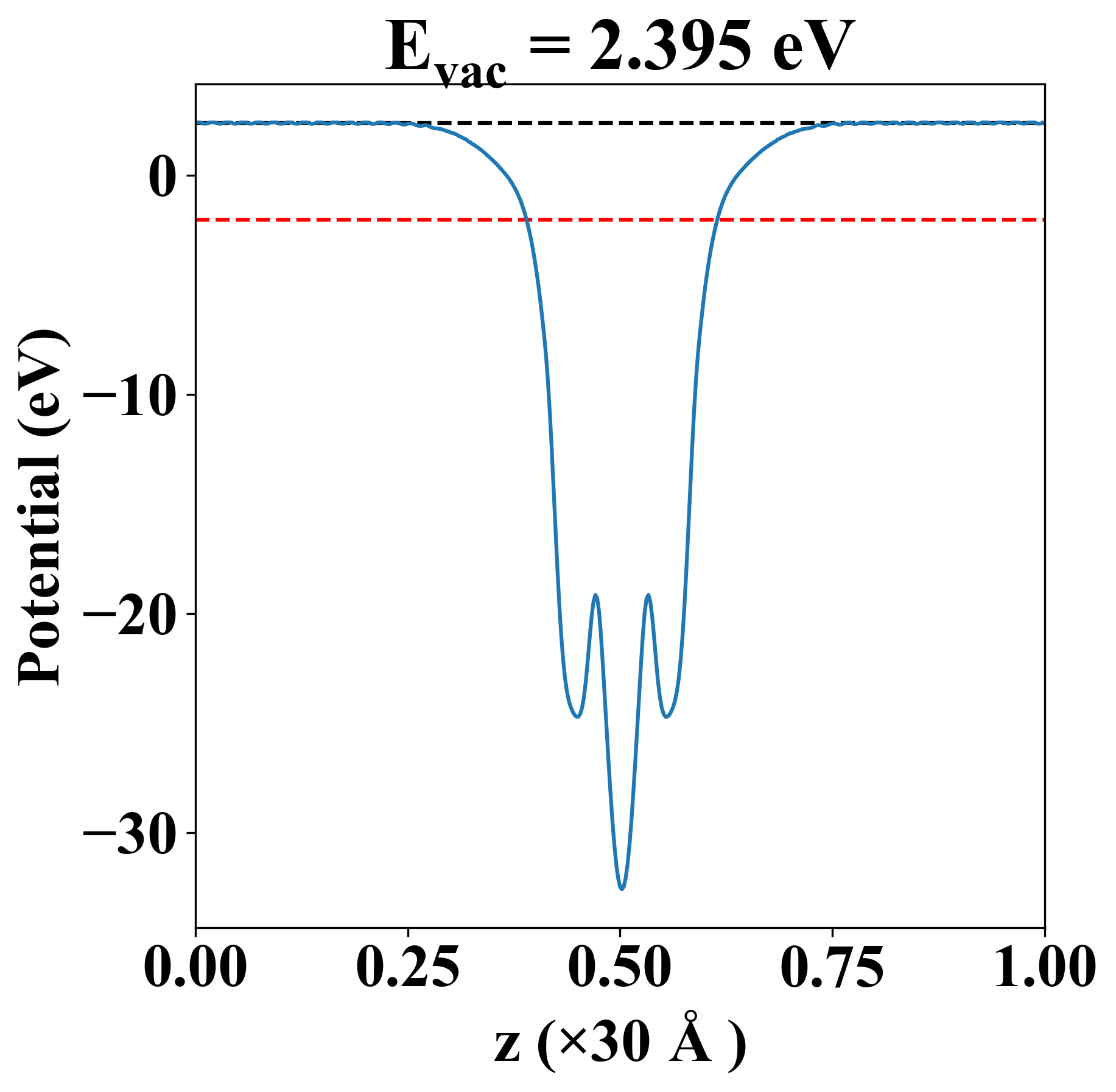
| Vacuum level |
2.395 eV |
| VBM |
-2.029 eV |
| CBM |
-2.023 eV |
| Work function |
4.424 eV |
| Direct gap |
No |
| Property |
Value |
| Band gap |
0.00 eV |
| E-fermi |
-2.029 eV |
| Vacuum level |
2.395 eV |
| VBM |
-2.029 eV |
| CBM |
-2.023 eV |
| Work function |
4.424 eV |
| Cij (N/m) |
xx |
yy |
xy |
| xx |
95.668 |
-1.854 |
-0.000 |
| yy |
-1.854 |
95.668 |
0.000 |
| xy |
-0.000 |
0.000 |
48.761 |
| Phonon mode at Γ point (THz) |
| -0.002 |
| -0.002 |
| 0.001 |
| 4.451 |
| 4.451 |
| 5.330 |
| 5.330 |
| 6.409 |
| 8.554 |
| Property |
Value |
| from where |
sz.tsinghua-63 |