Mo1S2
MatHub2d-837-Mo1S2
| Property |
Value |
| Space group |
(164, 'P-3m1') |
| Crystal system |
hexagonal |
| Magnetic |
No |
| Band gap (PBE) (eV) |
0.00 |
| Free energy (eV) |
-18.161 |
| Free energy / atom (eV) |
-6.054 |
Lattice Parameters (basic)
| a, b, c (Å): | 3.188 | 3.188 | 30.000 |
| α, β, γ (°): | 90.000 | 90.000 | 120.000 |
Lattice Parameters (computed)
| a, b, c (Å): | 3.197 | 3.197 | 30.000 |
| α, β, γ (°): | 90.000 | 90.000 | 120.000 |
| Property |
Value |
| Band gap |
0.00 eV |
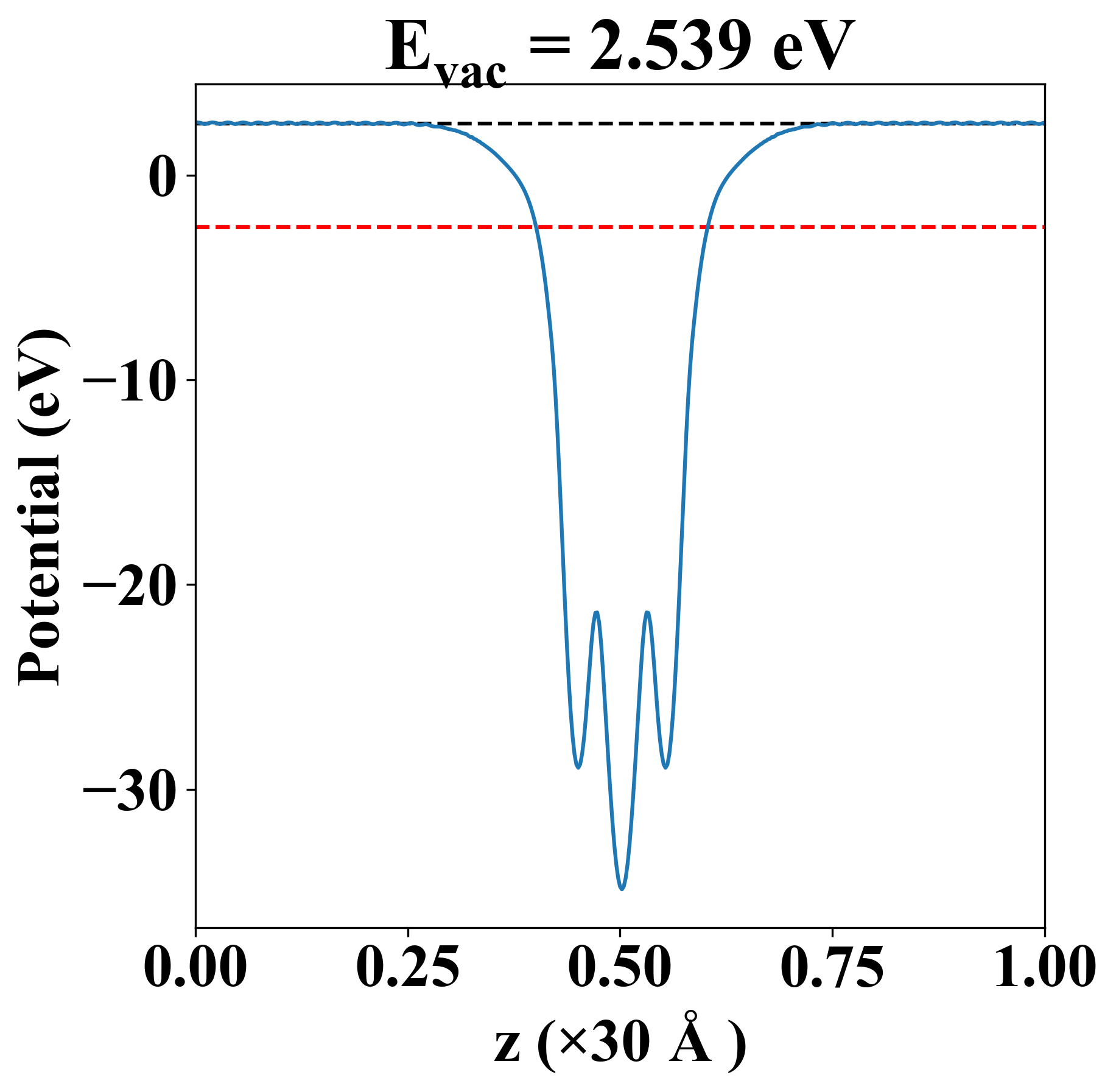
| E-fermi |
-2.532 eV |
| Vacuum level |
2.539 eV |
| VBM |
-2.533 eV |
| CBM |
-2.530 eV |
| Work function |
5.072 eV |
| Direct gap |
No |
| Property |
Value |
| Band gap |
0.00 eV |
| E-fermi |
-2.532 eV |
| Vacuum level |
2.539 eV |
| VBM |
-2.533 eV |
| CBM |
-2.530 eV |
| Work function |
5.072 eV |
| Cij (N/m) |
xx |
yy |
xy |
| xx |
94.568 |
-5.631 |
-0.000 |
| yy |
-5.631 |
94.568 |
-0.000 |
| xy |
-0.000 |
-0.000 |
50.100 |
| Phonon mode at Γ point (THz) |
| -0.006 |
| -0.006 |
| 0.001 |
| 6.163 |
| 6.163 |
| 7.549 |
| 7.549 |
| 10.460 |
| 11.647 |
| Property |
Value |
| from where |
c2db-528 |