Mo1S2
MatHub2d-836-Mo1S2
| Property |
Value |
| Space group |
(187, 'P-6m2') |
| Crystal system |
hexagonal |
| Magnetic |
No |
| Band gap (PBE) (eV) |
1.62 |
| Free energy (eV) |
-18.982 |
| Free energy / atom (eV) |
-6.327 |
Lattice Parameters (basic)
| a, b, c (Å): | 3.188 | 3.188 | 30.000 |
| α, β, γ (°): | 90.000 | 90.000 | 120.000 |
Lattice Parameters (computed)
| a, b, c (Å): | 3.193 | 3.193 | 30.000 |
| α, β, γ (°): | 90.000 | 90.000 | 120.000 |
| Property |
Value |
| Band gap |
1.62 eV |
| E-fermi |
-3.105 eV |
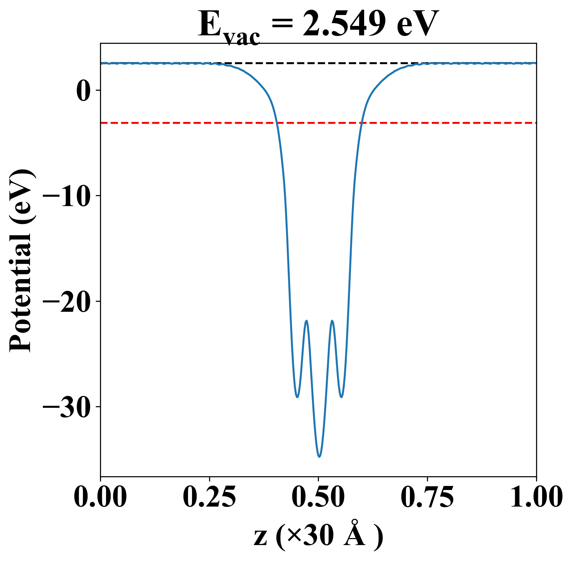
| Vacuum level |
2.549 eV |
| VBM |
-3.320 eV |
| CBM |
-1.705 eV |
| Work function |
5.654 eV |
| Direct gap |
Yes |
| Property |
Value |
| Band gap |
1.52 eV |
| E-fermi |
-2.892 eV |
| VBM |
-3.257 eV |
| CBM |
-1.738 eV |
| Free energy (eV) |
-19.081 |
| Free energy / atom (eV) |
-6.360 |
| Property |
Value |
| Band gap |
1.62 eV |
| E-fermi |
-3.105 eV |
| Vacuum level |
2.549 eV |
| VBM |
-3.320 eV |
| CBM |
-1.705 eV |
| Work function |
5.654 eV |
| Cij (N/m) |
xx |
yy |
xy |
| xx |
129.795 |
31.718 |
0.000 |
| yy |
31.718 |
129.795 |
-0.000 |
| xy |
0.000 |
-0.000 |
49.038 |
| Phonon mode at Γ point (THz) |
| -0.005 |
| -0.005 |
| -0.001 |
| 8.176 |
| 8.176 |
| 11.034 |
| 11.034 |
| 11.734 |
| 13.557 |
| Carrier type |
C2D (N/m) |
Edef (eV) |
μ (cm2V-1s-1) |
| x |
y |
x |
y |
x |
y |
| hole |
127.73 |
127.69 |
-2.52 |
-2.49 |
-165.77 |
-169.41 |
| electron |
-8.31 |
-8.28 |
12.95 |
13.03 |
| Property |
Value |
| from where |
JVASP-664 |