Mo1S1Se1
MatHub2d-835-Mo1S1Se1
| Property |
Value |
| Space group |
(156, 'P3m1') |
| Crystal system |
hexagonal |
| Magnetic |
No |
| Band gap (PBE) (eV) |
1.51 |
| Free energy (eV) |
-18.025 |
| Free energy / atom (eV) |
-6.008 |
Lattice Parameters (basic)
| a, b, c (Å): | 3.251 | 3.251 | 30.000 |
| α, β, γ (°): | 90.000 | 90.000 | 120.000 |
Lattice Parameters (computed)
| a, b, c (Å): | 3.261 | 3.261 | 30.000 |
| α, β, γ (°): | 90.000 | 90.000 | 120.000 |
| Property |
Value |
| Band gap |
1.51 eV |
| E-fermi |
-2.869 eV |
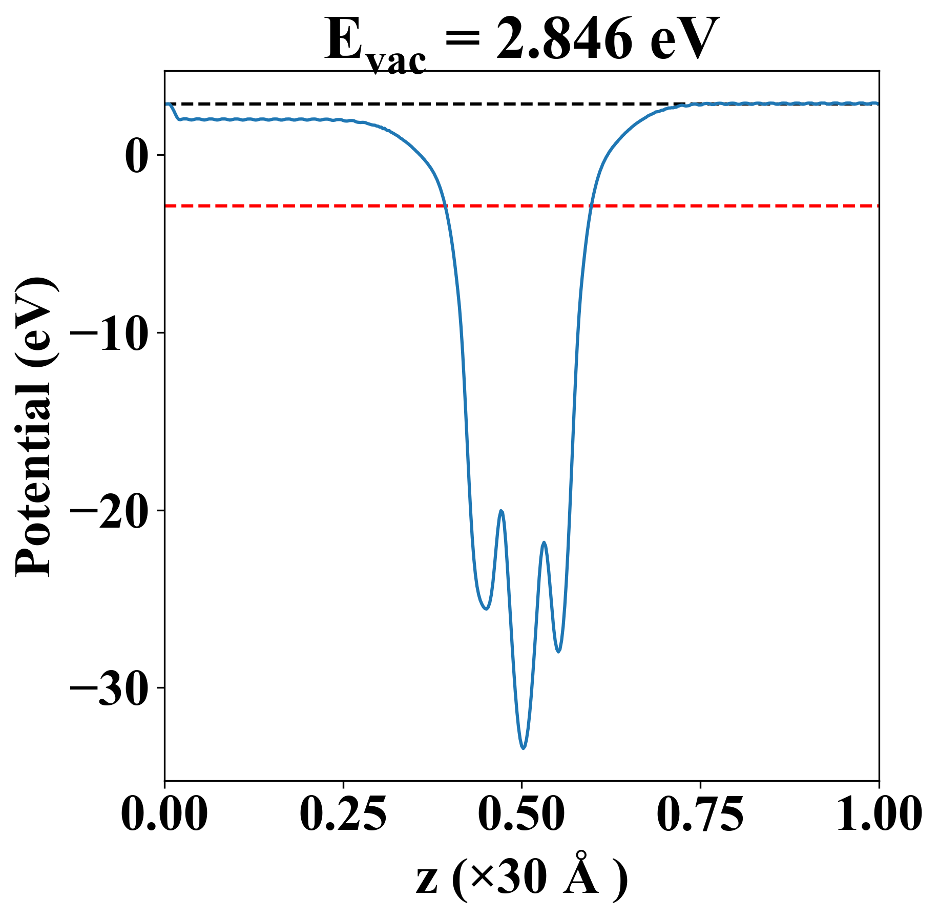
| Vacuum level |
2.846 eV |
| VBM |
-3.140 eV |
| CBM |
-1.627 eV |
| Work function |
5.715 eV |
| Direct gap |
Yes |
| Property |
Value |
| Band gap |
1.40 eV |
| E-fermi |
-2.596 eV |
| VBM |
-3.009 eV |
| CBM |
-1.611 eV |
| Free energy (eV) |
-18.145 |
| Free energy / atom (eV) |
-6.048 |
| Property |
Value |
| Band gap |
1.51 eV |
| E-fermi |
-2.869 eV |
| Vacuum level |
2.846 eV |
| VBM |
-3.140 eV |
| CBM |
-1.627 eV |
| Work function |
5.715 eV |
| Cij (N/m) |
xx |
yy |
xy |
| xx |
117.993 |
27.664 |
-0.000 |
| yy |
27.664 |
117.993 |
0.000 |
| xy |
-0.000 |
0.000 |
45.164 |
| Phonon mode at Γ point (THz) |
| -0.002 |
| -0.002 |
| -0.001 |
| 5.918 |
| 5.918 |
| 8.377 |
| 10.095 |
| 10.095 |
| 12.661 |
| Property |
Value |
| from where |
c2db-1458 |