Mo1O3
MatHub2d-834-Mo1O3
| Property |
Value |
| Space group |
(187, 'P-6m2') |
| Crystal system |
hexagonal |
| Magnetic |
Yes |
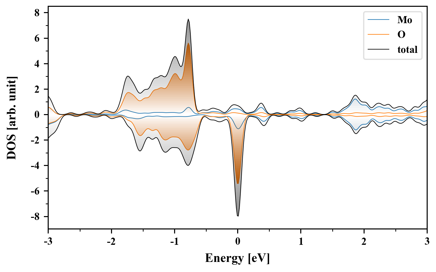
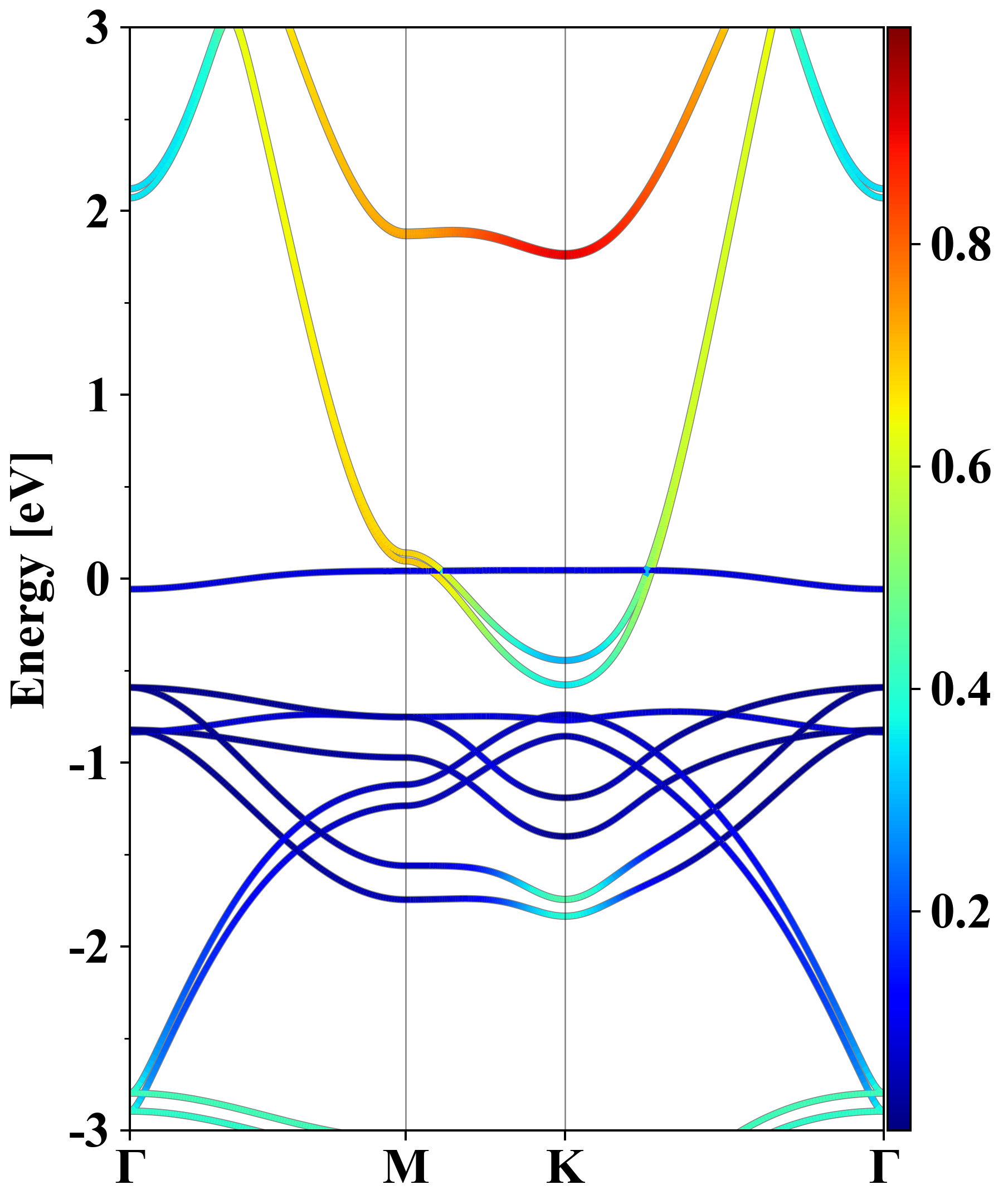
| Band gap (PBE) (eV) |
0.00 |
| Free energy (eV) |
-26.937 |
| Free energy / atom (eV) |
-6.734 |
Lattice Parameters (basic)
| a, b, c (Å): | 3.484 | 3.484 | 30.000 |
| α, β, γ (°): | 90.000 | 90.000 | 120.000 |
Lattice Parameters (computed)
| a, b, c (Å): | 3.501 | 3.501 | 30.000 |
| α, β, γ (°): | 90.000 | 90.000 | 120.000 |
| Property |
Value |
| Band gap |
0.00 eV |
| E-fermi |
-6.861 eV |
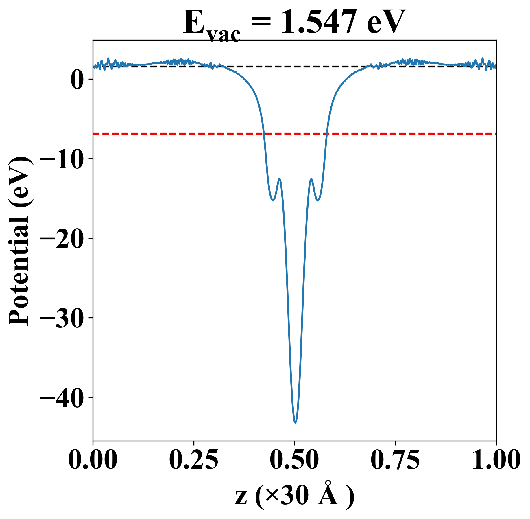
| Vacuum level |
1.547 eV |
| VBM |
-6.862 eV |
| CBM |
-6.860 eV |
| Work function |
8.409 eV |
| Direct gap |
No |
| Property |
Value |
| Band gap |
0.00 eV |
| E-fermi |
-6.861 eV |
| Vacuum level |
1.547 eV |
| VBM |
-6.862 eV |
| CBM |
-6.860 eV |
| Work function |
8.409 eV |
| Cij (N/m) |
xx |
yy |
xy |
| xx |
93.793 |
67.005 |
-0.000 |
| yy |
67.005 |
93.793 |
0.000 |
| xy |
-0.000 |
0.000 |
13.394 |
| Phonon mode at Γ point (THz) |
| -6.666 |
| -6.666 |
| -0.019 |
| 0.009 |
| 0.009 |
| 5.890 |
| 5.890 |
| 10.518 |
| 13.692 |
| 13.692 |
| 23.628 |
| 25.276 |
| Property |
Value |
| from where |
shu-37 |