Mo1O2
MatHub2d-833-Mo1O2
| Property |
Value |
| Space group |
(187, 'P-6m2') |
| Crystal system |
hexagonal |
| Magnetic |
No |
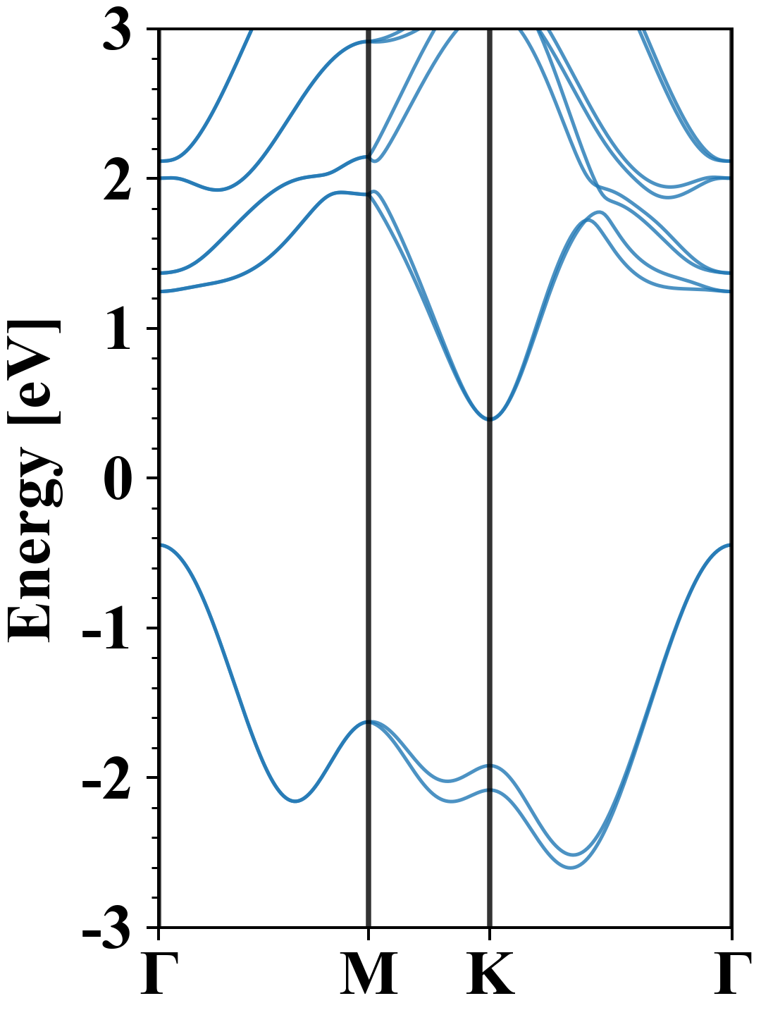
| Band gap (PBE) (eV) |
0.84 |
| Free energy (eV) |
-23.770 |
| Free energy / atom (eV) |
-7.923 |
Lattice Parameters (basic)
| a, b, c (Å): | 2.820 | 2.820 | 30.000 |
| α, β, γ (°): | 90.000 | 90.000 | 120.000 |
Lattice Parameters (computed)
| a, b, c (Å): | 2.837 | 2.837 | 30.000 |
| α, β, γ (°): | 90.000 | 90.000 | 120.000 |
| Property |
Value |
| Band gap |
0.84 eV |
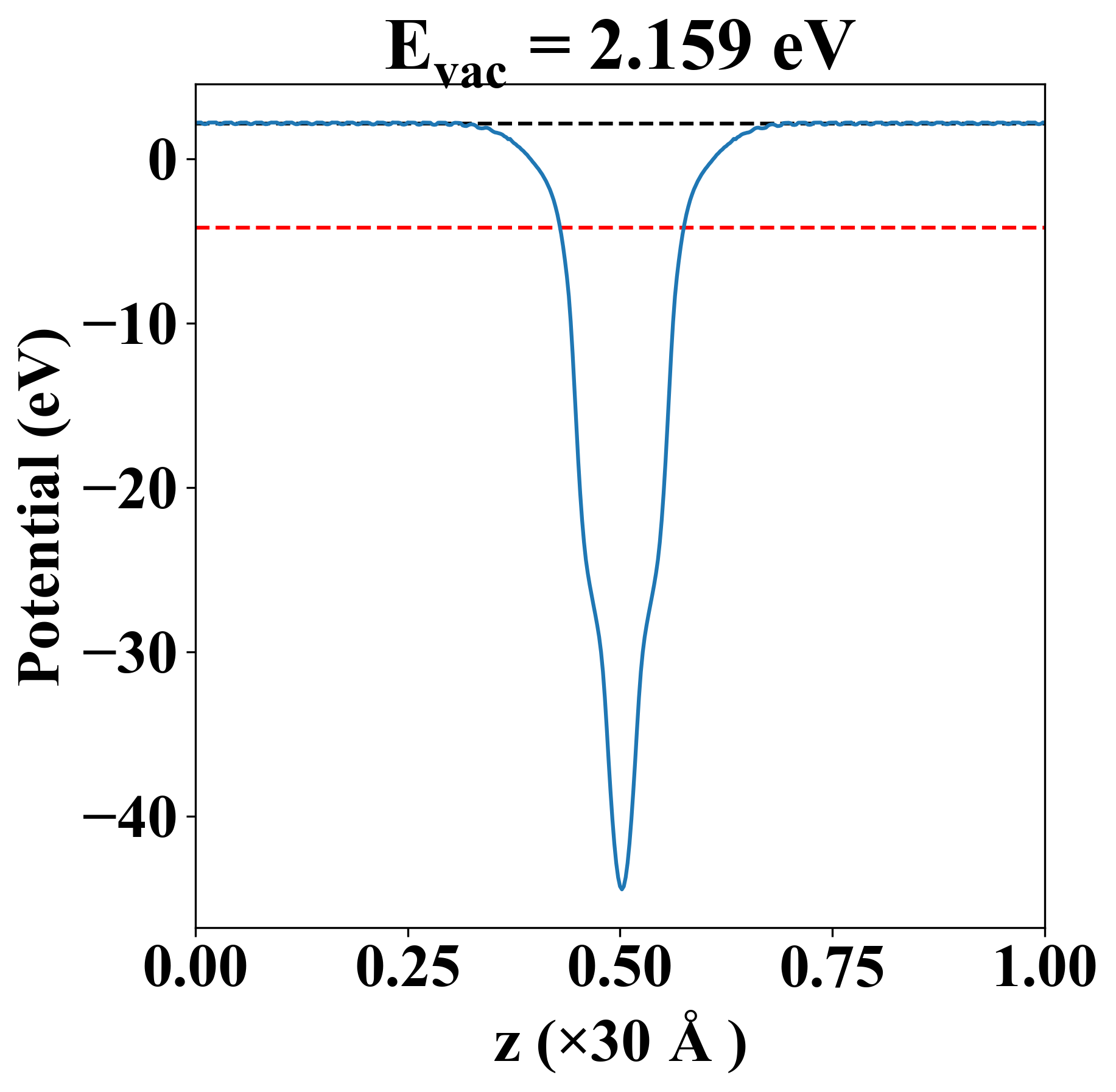
| E-fermi |
-4.201 eV |
| Vacuum level |
2.159 eV |
| VBM |
-4.542 eV |
| CBM |
-3.702 eV |
| Work function |
6.361 eV |
| Direct gap |
No |
| Property |
Value |
| Band gap |
0.83 eV |
| E-fermi |
-4.113 eV |
| VBM |
-4.559 eV |
| CBM |
-3.725 eV |
| Free energy (eV) |
-23.863 |
| Free energy / atom (eV) |
-7.954 |
| Property |
Value |
| Band gap |
0.84 eV |
| E-fermi |
-4.201 eV |
| Vacuum level |
2.159 eV |
| VBM |
-4.542 eV |
| CBM |
-3.702 eV |
| Work function |
6.361 eV |
| Cij (N/m) |
xx |
yy |
xy |
| xx |
227.824 |
82.036 |
0.000 |
| yy |
82.036 |
227.824 |
-0.000 |
| xy |
0.000 |
-0.000 |
72.894 |
| Phonon mode at Γ point (THz) |
| -0.002 |
| -0.001 |
| -0.001 |
| 13.426 |
| 13.426 |
| 14.824 |
| 14.824 |
| 20.570 |
| 21.056 |
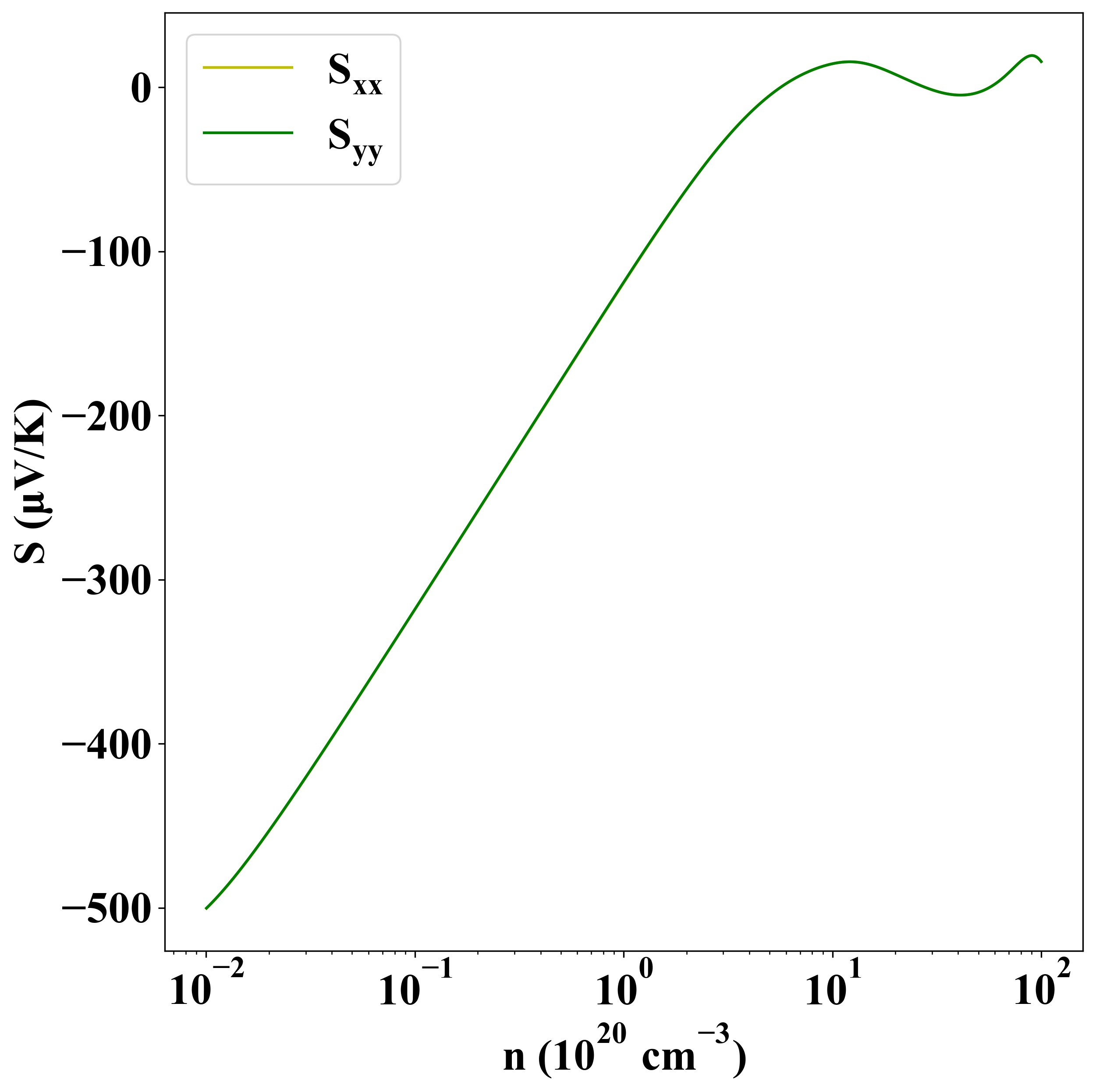
| Carrier type |
C2D (N/m) |
Edef (eV) |
μ (cm2V-1s-1) |
| x |
y |
x |
y |
x |
y |
| hole |
224.00 |
233.58 |
3.41 |
3.81 |
-882.75 |
-737.41 |
| electron |
-7.63 |
-7.21 |
79.57 |
92.87 |
| Property |
Value |
| from where |
c2db-527 |