Mo1O2
MatHub2d-832-Mo1O2
| Property |
Value |
| Space group |
(164, 'P-3m1') |
| Crystal system |
hexagonal |
| Magnetic |
No |
| Band gap (PBE) (eV) |
0.00 |
| Free energy (eV) |
-22.851 |
| Free energy / atom (eV) |
-7.617 |
Lattice Parameters (basic)
| a, b, c (Å): | 2.908 | 2.908 | 30.000 |
| α, β, γ (°): | 90.000 | 90.000 | 120.000 |
Lattice Parameters (computed)
| a, b, c (Å): | 2.924 | 2.924 | 30.000 |
| α, β, γ (°): | 90.000 | 90.000 | 120.000 |
| Property |
Value |
| Band gap |
0.00 eV |
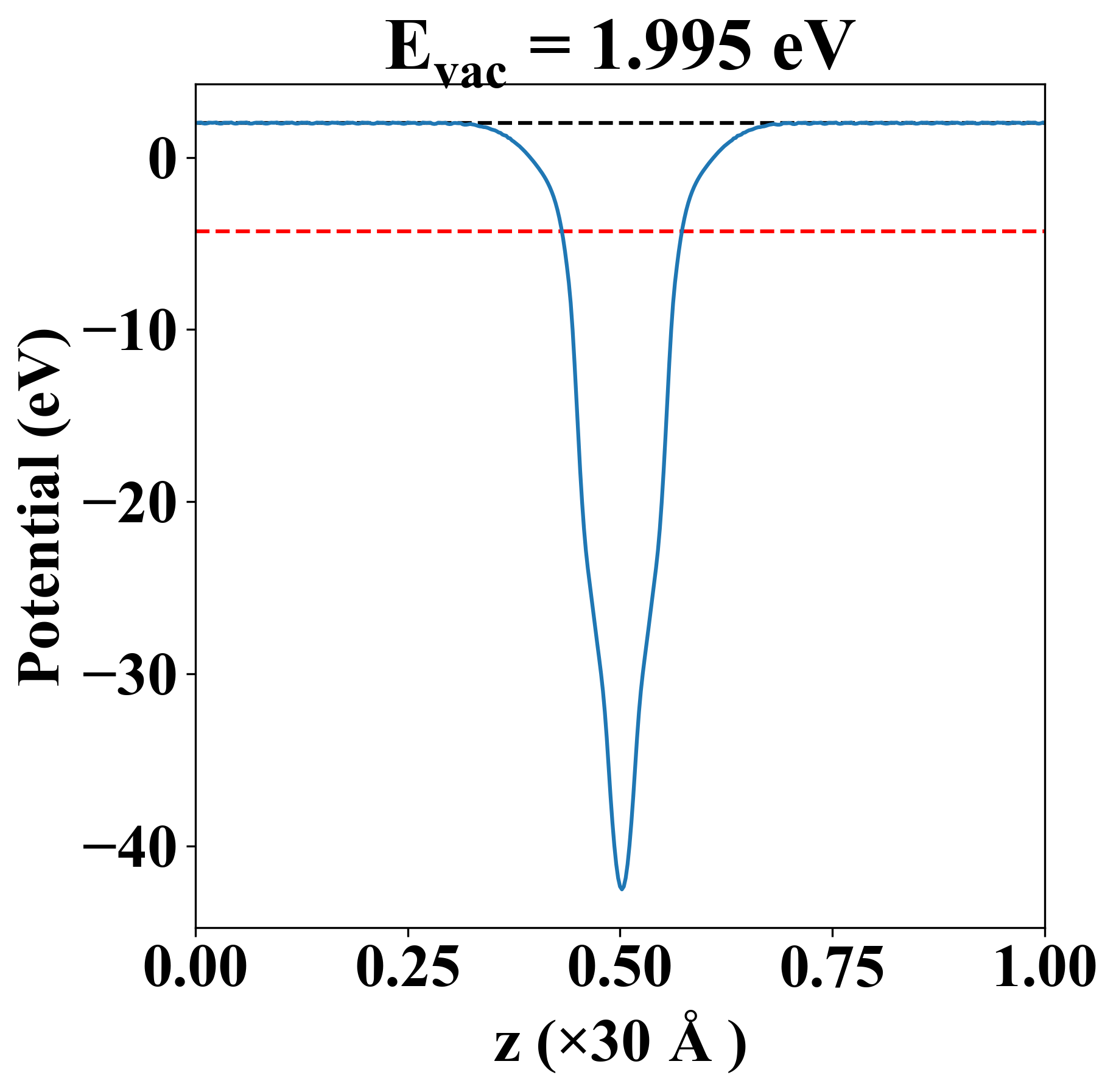
| E-fermi |
-4.310 eV |
| Vacuum level |
1.995 eV |
| VBM |
-4.312 eV |
| CBM |
-4.310 eV |
| Work function |
6.305 eV |
| Direct gap |
No |
| Property |
Value |
| Band gap |
0.00 eV |
| E-fermi |
-4.310 eV |
| Vacuum level |
1.995 eV |
| VBM |
-4.312 eV |
| CBM |
-4.310 eV |
| Work function |
6.305 eV |
| Cij (N/m) |
xx |
yy |
xy |
| xx |
113.016 |
59.954 |
0.000 |
| yy |
59.954 |
113.016 |
-0.000 |
| xy |
0.000 |
-0.000 |
26.531 |
| Phonon mode at Γ point (THz) |
| -0.021 |
| -0.021 |
| -0.001 |
| 8.308 |
| 8.308 |
| 10.035 |
| 10.035 |
| 17.177 |
| 17.314 |
| Property |
Value |
| from where |
c2db-526 |