Mo1N2
MatHub2d-831-Mo1N2
| Property |
Value |
| Space group |
(187, 'P-6m2') |
| Crystal system |
hexagonal |
| Magnetic |
Yes |
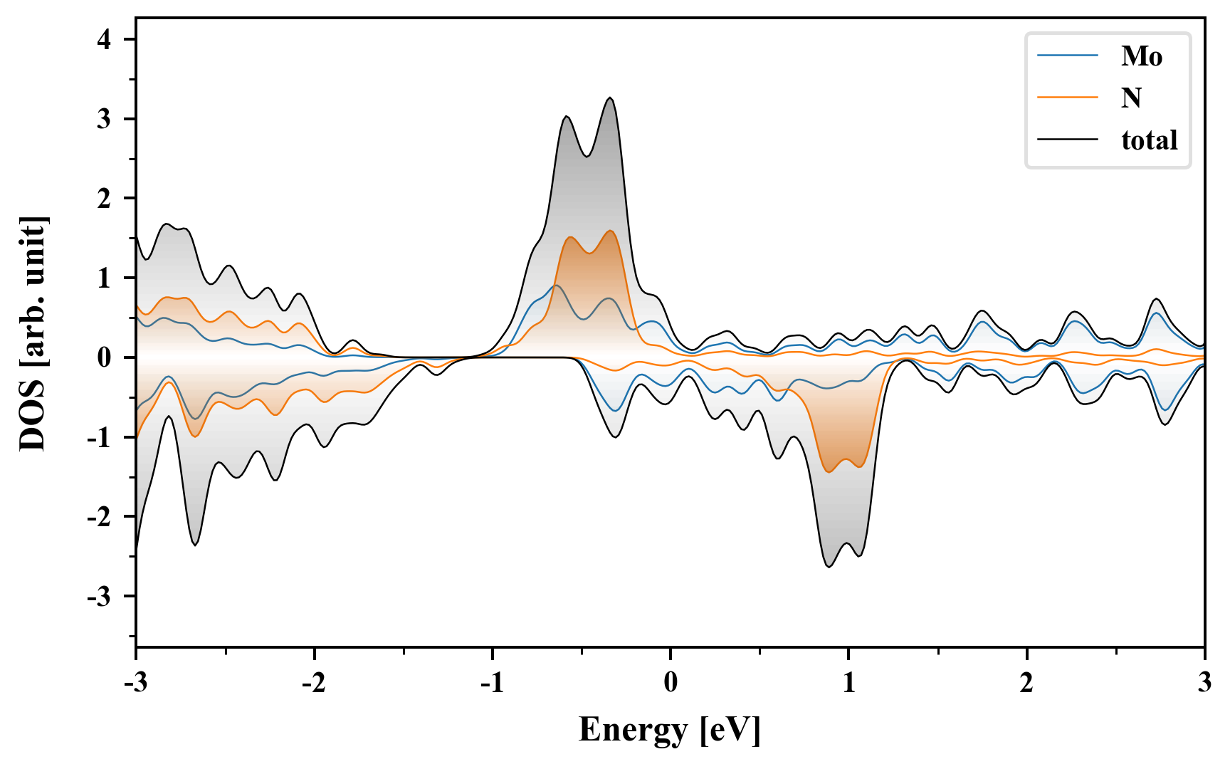
| Band gap (PBE) (eV) |
0.01 |
| Free energy (eV) |
-23.510 |
| Free energy / atom (eV) |
-7.837 |
Lattice Parameters (basic)
| a, b, c (Å): | 2.986 | 2.986 | 30.000 |
| α, β, γ (°): | 90.000 | 90.000 | 120.000 |
Lattice Parameters (computed)
| a, b, c (Å): | 2.995 | 2.995 | 30.000 |
| α, β, γ (°): | 90.000 | 90.000 | 120.000 |
| Property |
Value |
| Band gap |
0.01 eV |
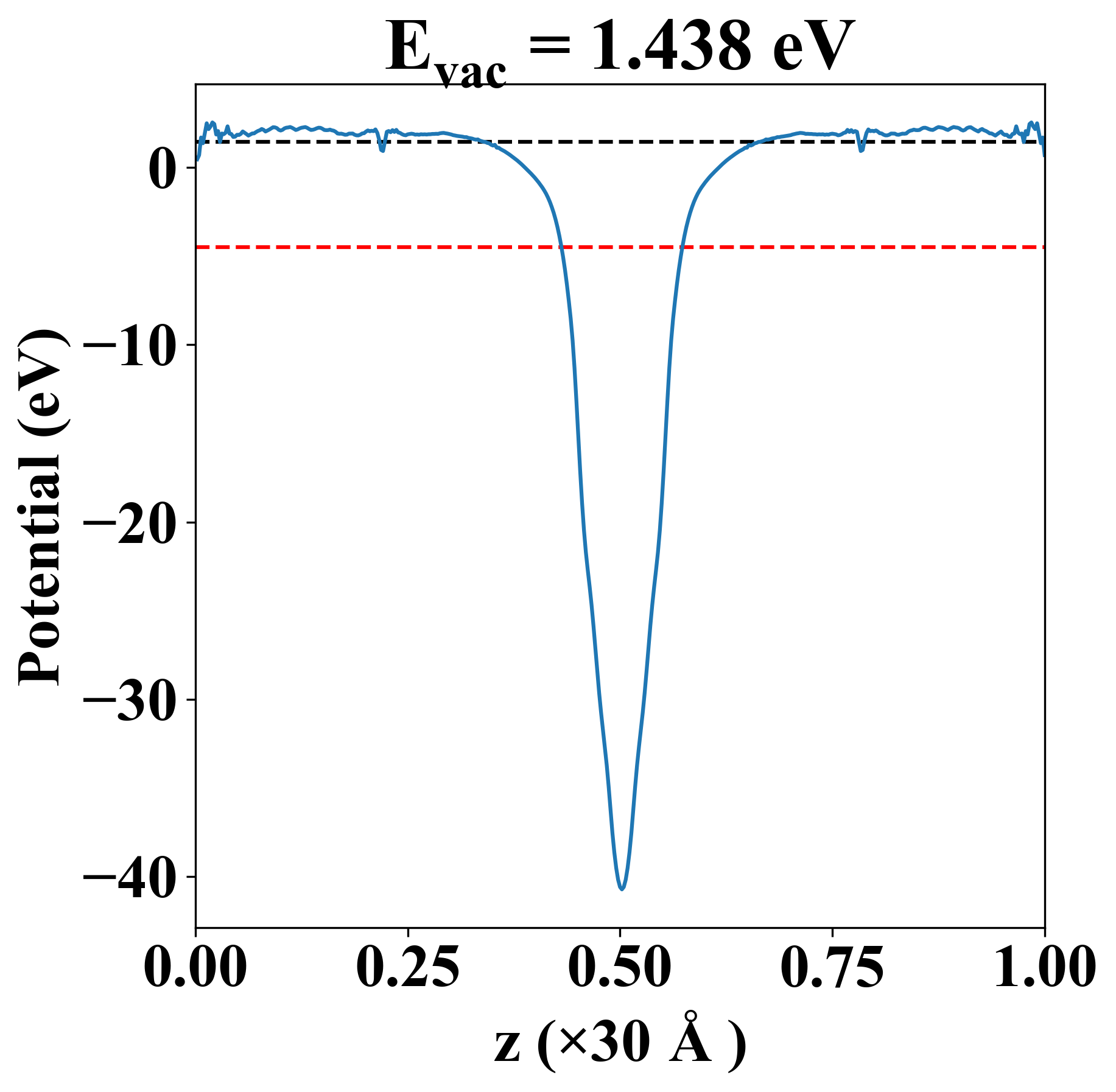
| E-fermi |
-4.507 eV |
| Vacuum level |
1.438 eV |
| VBM |
-4.510 eV |
| CBM |
-4.500 eV |
| Work function |
5.945 eV |
| Direct gap |
No |
| Property |
Value |
| Band gap |
0.01 eV |
| E-fermi |
-4.507 eV |
| Vacuum level |
1.438 eV |
| VBM |
-4.510 eV |
| CBM |
-4.500 eV |
| Work function |
5.945 eV |
| Cij (N/m) |
xx |
yy |
xy |
| xx |
150.776 |
43.568 |
-0.000 |
| yy |
43.568 |
150.776 |
0.000 |
| xy |
-0.000 |
0.000 |
53.604 |
| Phonon mode at Γ point (THz) |
| -15.776 |
| -15.776 |
| -0.008 |
| -0.008 |
| -0.007 |
| 7.516 |
| 11.376 |
| 11.376 |
| 19.184 |
| Property |
Value |
| from where |
sz.tsinghua-57 |