Mn2Te2
MatHub2d-830-Mn2Te2
| Property |
Value |
| Space group |
(187, 'P-6m2') |
| Crystal system |
hexagonal |
| Magnetic |
Yes |
| Band gap (PBE) (eV) |
0.00 |
| Free energy (eV) |
-15.845 |
| Free energy / atom (eV) |
-3.961 |
Lattice Parameters (basic)
| a, b, c (Å): | 4.319 | 4.319 | 30.000 |
| α, β, γ (°): | 90.000 | 90.000 | 120.000 |
Lattice Parameters (computed)
| a, b, c (Å): | 4.233 | 4.233 | 30.000 |
| α, β, γ (°): | 90.000 | 90.000 | 120.000 |
| Property |
Value |
| Band gap |
0.00 eV |
| E-fermi |
-2.689 eV |
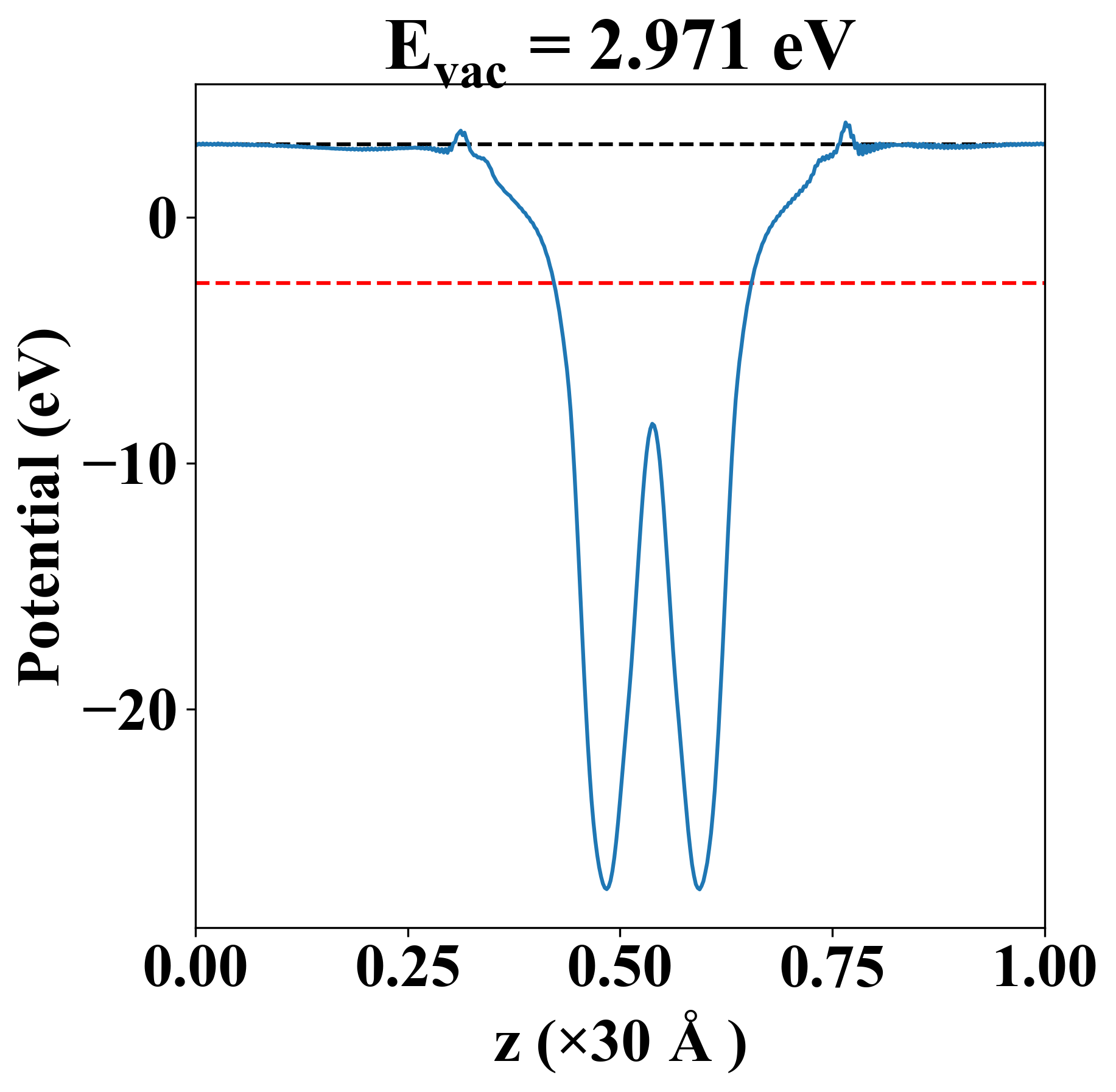
| Vacuum level |
2.971 eV |
| VBM |
-2.690 eV |
| CBM |
-2.688 eV |
| Work function |
5.660 eV |
| Direct gap |
No |
| Property |
Value |
| Band gap |
0.00 eV |
| E-fermi |
-2.689 eV |
| Vacuum level |
2.971 eV |
| VBM |
-2.690 eV |
| CBM |
-2.688 eV |
| Work function |
5.660 eV |
| Cij (N/m) |
xx |
yy |
xy |
| xx |
29.401 |
18.849 |
-0.000 |
| yy |
18.849 |
29.401 |
0.000 |
| xy |
-0.000 |
0.000 |
5.276 |
| Phonon mode at Γ point (THz) |
| -0.029 |
| -0.008 |
| -0.008 |
| 1.760 |
| 1.760 |
| 2.617 |
| 4.483 |
| 5.753 |
| 5.753 |
| 6.586 |
| 6.586 |
| 7.880 |
| Property |
Value |
| from where |
c2db-1650 |