Mn2Se2
MatHub2d-829-Mn2Se2
| Property |
Value |
| Space group |
(187, 'P-6m2') |
| Crystal system |
hexagonal |
| Magnetic |
Yes |
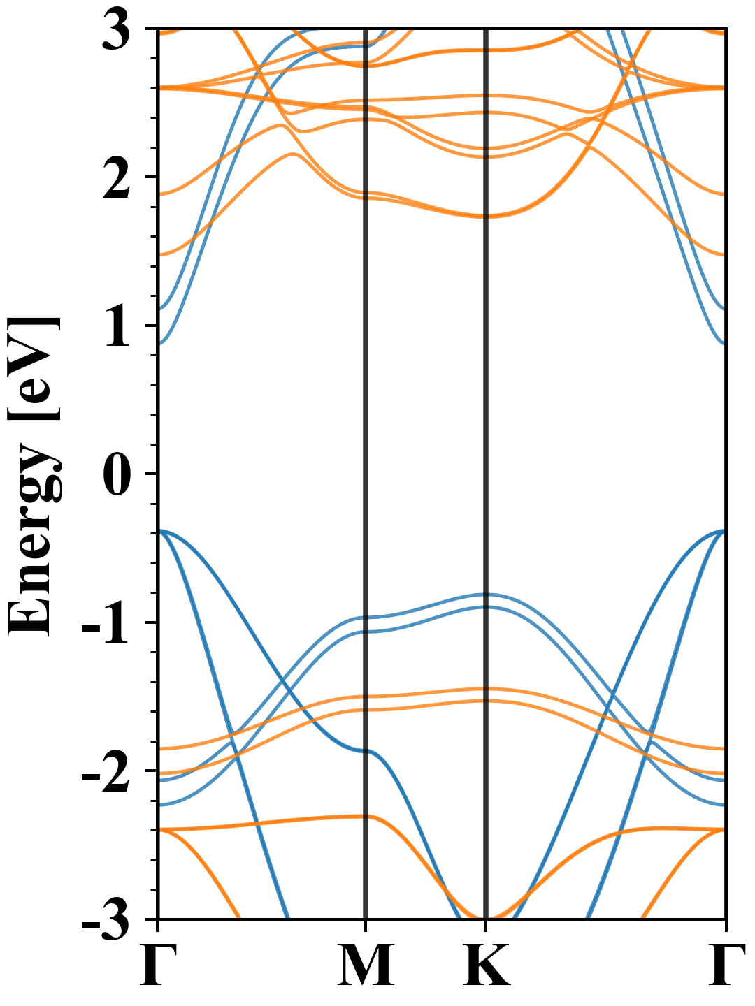
| Band gap (PBE) (eV) |
1.26 |
| Free energy (eV) |
-22.976 |
| Free energy / atom (eV) |
-5.744 |
Lattice Parameters (basic)
| a, b, c (Å): | 3.816 | 3.816 | 30.000 |
| α, β, γ (°): | 90.000 | 90.000 | 120.000 |
Lattice Parameters (computed)
| a, b, c (Å): | 4.350 | 4.350 | 30.000 |
| α, β, γ (°): | 90.000 | 90.000 | 120.000 |
| Property |
Value |
| Band gap |
1.26 eV |
| E-fermi |
-2.900 eV |
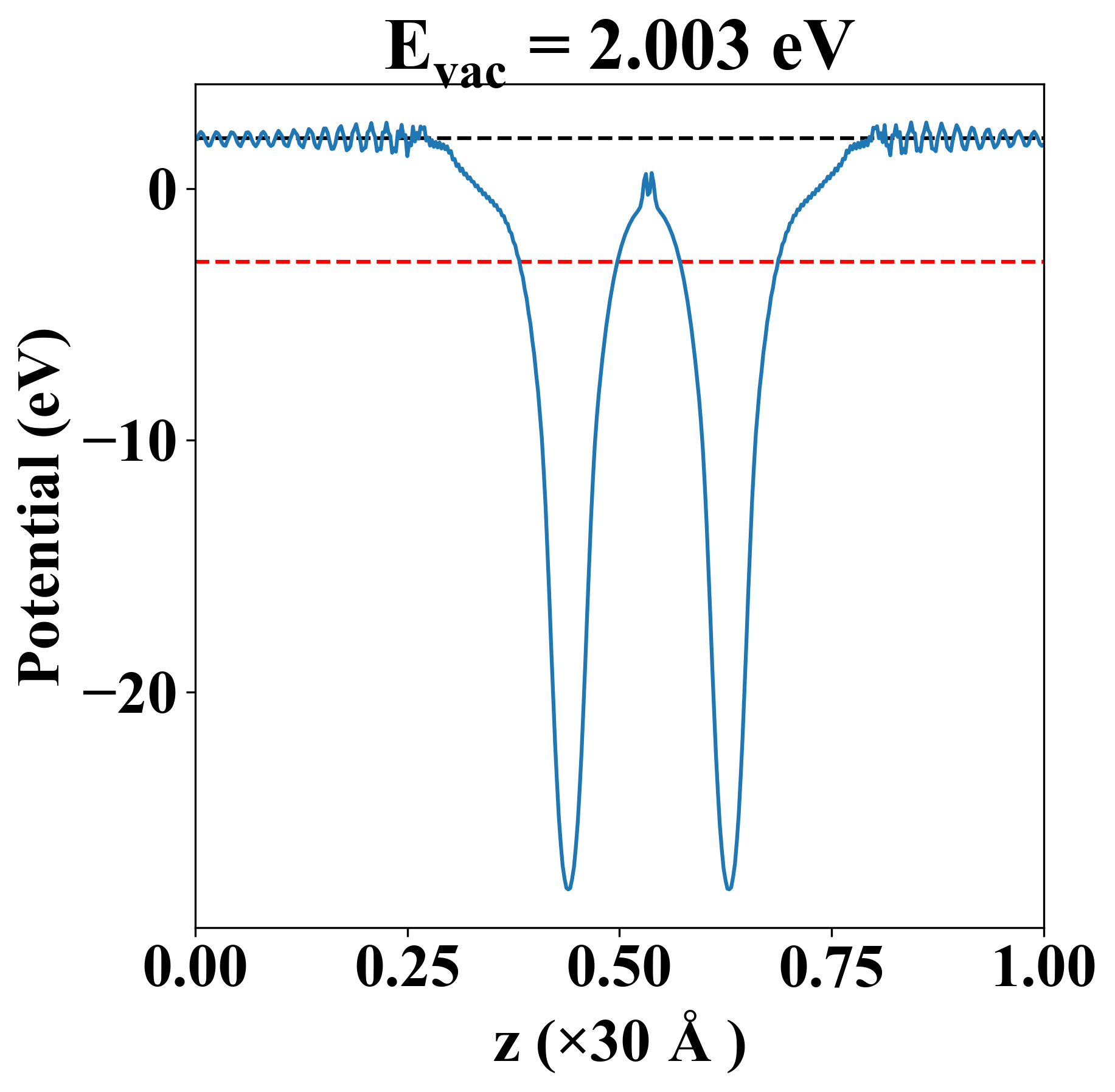
| Vacuum level |
2.003 eV |
| VBM |
-3.282 eV |
| CBM |
-2.025 eV |
| Work function |
4.903 eV |
| Direct gap |
Yes |
| Property |
Value |
| Band gap |
1.20 eV |
| E-fermi |
-2.891 eV |
| VBM |
-3.233 eV |
| CBM |
-2.032 eV |
| Free energy (eV) |
-23.042 |
| Free energy / atom (eV) |
-5.761 |
| Property |
Value |
| Band gap |
1.26 eV |
| E-fermi |
-2.900 eV |
| Vacuum level |
2.003 eV |
| VBM |
-3.282 eV |
| CBM |
-2.025 eV |
| Work function |
4.903 eV |
| Cij (N/m) |
xx |
yy |
xy |
| xx |
38.994 |
27.666 |
-0.000 |
| yy |
27.666 |
38.994 |
0.000 |
| xy |
-0.000 |
0.000 |
5.664 |
| Phonon mode at Γ point (THz) |
| -0.080 |
| -0.080 |
| -0.053 |
| -0.006 |
| -0.006 |
| 0.505 |
| 3.519 |
| 3.570 |
| 4.903 |
| 4.903 |
| 4.909 |
| 4.909 |
| Property |
Value |
| from where |
c2db-1649 |