Mn2S2
MatHub2d-828-Mn2S2
| Property |
Value |
| Space group |
(187, 'P-6m2') |
| Crystal system |
hexagonal |
| Magnetic |
Yes |
| Band gap (PBE) (eV) |
0.00 |
| Free energy (eV) |
-17.498 |
| Free energy / atom (eV) |
-4.375 |
Lattice Parameters (basic)
| a, b, c (Å): | 3.872 | 3.872 | 30.000 |
| α, β, γ (°): | 90.000 | 90.000 | 120.000 |
Lattice Parameters (computed)
| a, b, c (Å): | 3.647 | 3.647 | 30.000 |
| α, β, γ (°): | 90.000 | 90.000 | 120.000 |
| Property |
Value |
| Band gap |
0.00 eV |
| E-fermi |
-2.355 eV |
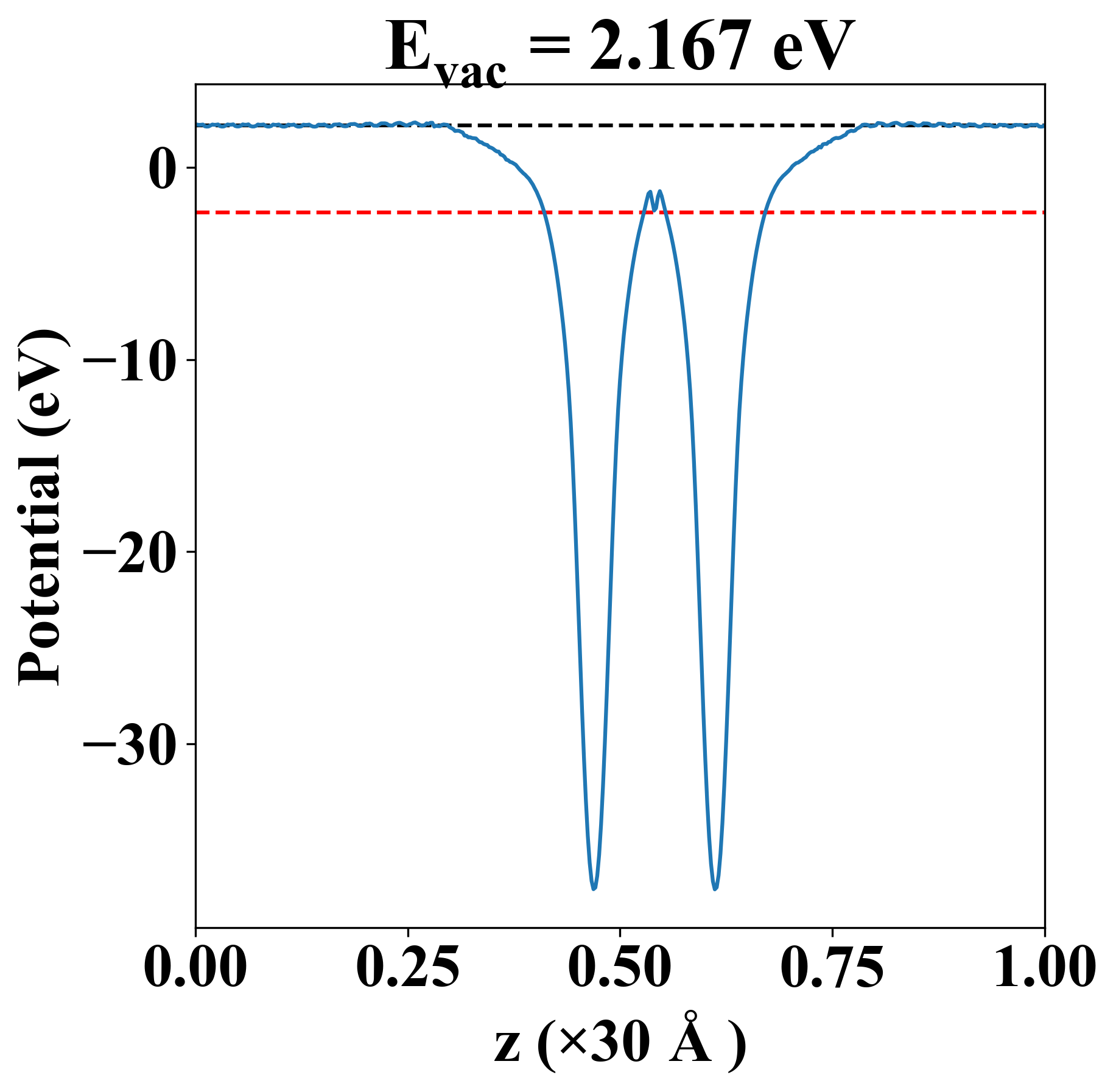
| Vacuum level |
2.167 eV |
| VBM |
-2.355 eV |
| CBM |
-2.355 eV |
| Work function |
4.522 eV |
| Direct gap |
No |
| Property |
Value |
| Band gap |
0.00 eV |
| E-fermi |
-2.355 eV |
| Vacuum level |
2.167 eV |
| VBM |
-2.355 eV |
| CBM |
-2.355 eV |
| Work function |
4.522 eV |
| Cij (N/m) |
xx |
yy |
xy |
| xx |
131.444 |
131.297 |
-0.000 |
| yy |
131.297 |
131.444 |
0.000 |
| xy |
-0.000 |
0.000 |
0.074 |
| Phonon mode at Γ point (THz) |
| -4.815 |
| -4.295 |
| -1.645 |
| -0.006 |
| -0.006 |
| 0.014 |
| 0.823 |
| 0.823 |
| 14.367 |
| 14.367 |
| 14.382 |
| 14.382 |
| Property |
Value |
| from where |
c2db-1646 |