Mn1Te2
MatHub2d-826-Mn1Te2
| Property |
Value |
| Space group |
(187, 'P-6m2') |
| Crystal system |
hexagonal |
| Magnetic |
Yes |
| Band gap (PBE) (eV) |
0.00 |
| Free energy (eV) |
-13.509 |
| Free energy / atom (eV) |
-4.503 |
Lattice Parameters (basic)
| a, b, c (Å): | 3.660 | 3.660 | 30.000 |
| α, β, γ (°): | 90.000 | 90.000 | 120.000 |
Lattice Parameters (computed)
| a, b, c (Å): | 3.907 | 3.907 | 30.000 |
| α, β, γ (°): | 90.000 | 90.000 | 120.000 |
| Property |
Value |
| Band gap |
0.00 eV |
| E-fermi |
-2.520 eV |
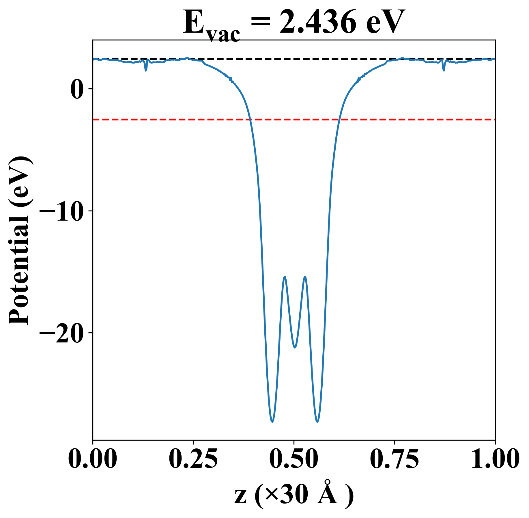
| Vacuum level |
2.436 eV |
| VBM |
-2.521 eV |
| CBM |
-2.520 eV |
| Work function |
4.957 eV |
| Direct gap |
No |
| Property |
Value |
| Band gap |
0.00 eV |
| E-fermi |
-2.520 eV |
| Vacuum level |
2.436 eV |
| VBM |
-2.521 eV |
| CBM |
-2.520 eV |
| Work function |
4.957 eV |
| Cij (N/m) |
xx |
yy |
xy |
| xx |
30.212 |
15.843 |
0.000 |
| yy |
15.843 |
30.212 |
0.000 |
| xy |
0.000 |
0.000 |
7.184 |
| Phonon mode at Γ point (THz) |
| -0.025 |
| -0.005 |
| -0.005 |
| 1.902 |
| 1.902 |
| 3.432 |
| 4.629 |
| 4.629 |
| 5.951 |
| Property |
Value |
| from where |
c2db-525 |