Mn1Se2
MatHub2d-824-Mn1Se2
| Property |
Value |
| Space group |
(187, 'P-6m2') |
| Crystal system |
hexagonal |
| Magnetic |
Yes |
| Band gap (PBE) (eV) |
0.00 |
| Free energy (eV) |
-11.803 |
| Free energy / atom (eV) |
-3.934 |
Lattice Parameters (basic)
| a, b, c (Å): | 3.254 | 3.254 | 30.000 |
| α, β, γ (°): | 90.000 | 90.000 | 120.000 |
Lattice Parameters (computed)
| a, b, c (Å): | 3.621 | 3.621 | 30.000 |
| α, β, γ (°): | 90.000 | 90.000 | 120.000 |
| Property |
Value |
| Band gap |
0.00 eV |
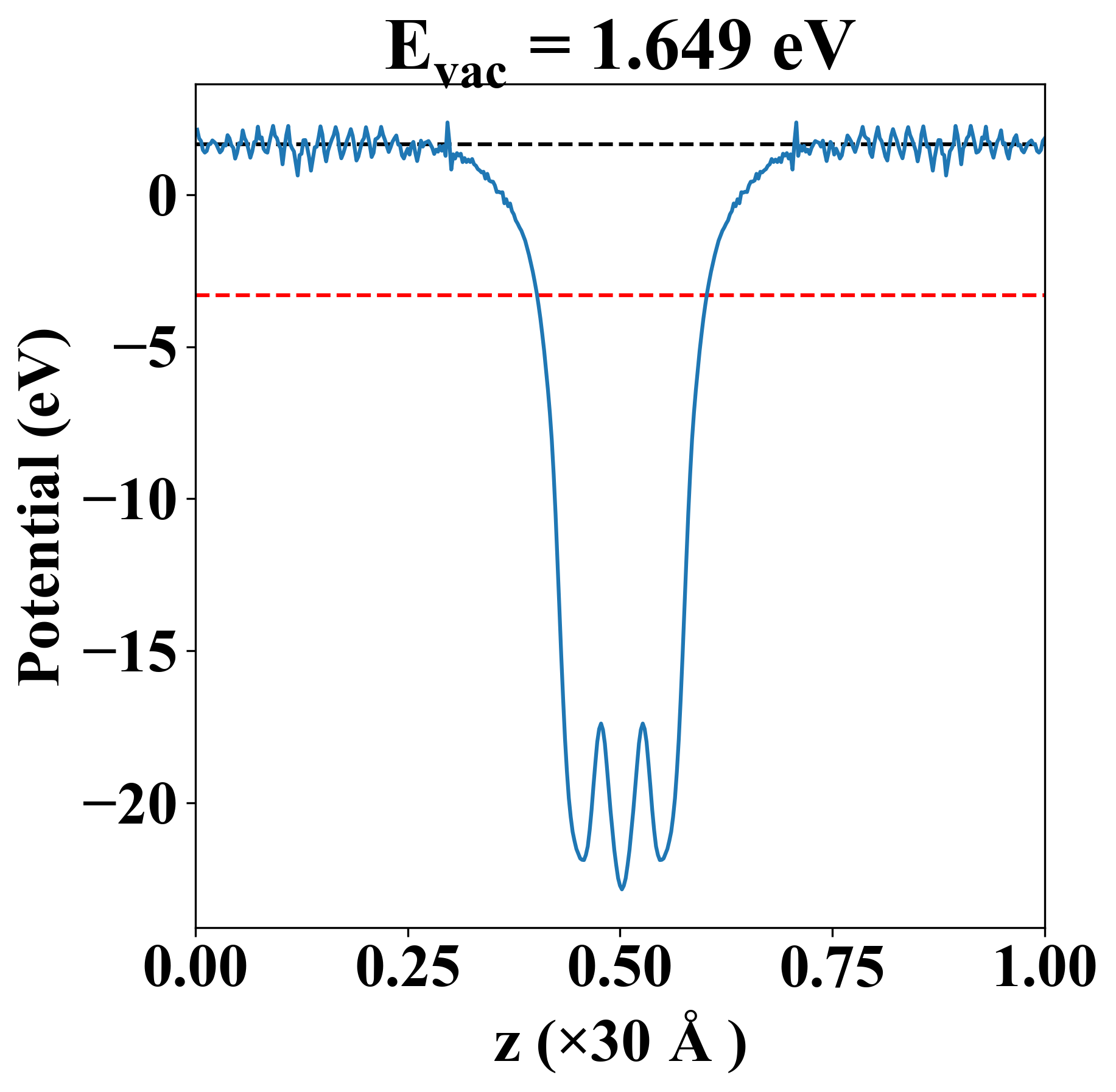
| E-fermi |
-3.308 eV |
| Vacuum level |
1.649 eV |
| VBM |
-3.309 eV |
| CBM |
-3.306 eV |
| Work function |
4.957 eV |
| Direct gap |
No |
| Property |
Value |
| Band gap |
0.00 eV |
| E-fermi |
-3.308 eV |
| Vacuum level |
1.649 eV |
| VBM |
-3.309 eV |
| CBM |
-3.306 eV |
| Work function |
4.957 eV |
| Cij (N/m) |
xx |
yy |
xy |
| xx |
39.310 |
20.498 |
-0.000 |
| yy |
20.498 |
39.310 |
0.000 |
| xy |
-0.000 |
0.000 |
9.406 |
| Phonon mode at Γ point (THz) |
| -0.026 |
| -0.018 |
| -0.018 |
| 2.739 |
| 2.739 |
| 5.039 |
| 5.651 |
| 5.651 |
| 7.462 |
| Property |
Value |
| from where |
c2db-523 |