Mn1Se2
MatHub2d-823-Mn1Se2
| Property |
Value |
| Space group |
(164, 'P-3m1') |
| Crystal system |
hexagonal |
| Magnetic |
Yes |
| Band gap (PBE) (eV) |
0.00 |
| Free energy (eV) |
-15.032 |
| Free energy / atom (eV) |
-5.011 |
Lattice Parameters (basic)
| a, b, c (Å): | 3.494 | 3.494 | 30.000 |
| α, β, γ (°): | 90.000 | 90.000 | 120.000 |
Lattice Parameters (computed)
| a, b, c (Å): | 3.653 | 3.653 | 30.000 |
| α, β, γ (°): | 90.000 | 90.000 | 120.000 |
| Property |
Value |
| Band gap |
0.00 eV |
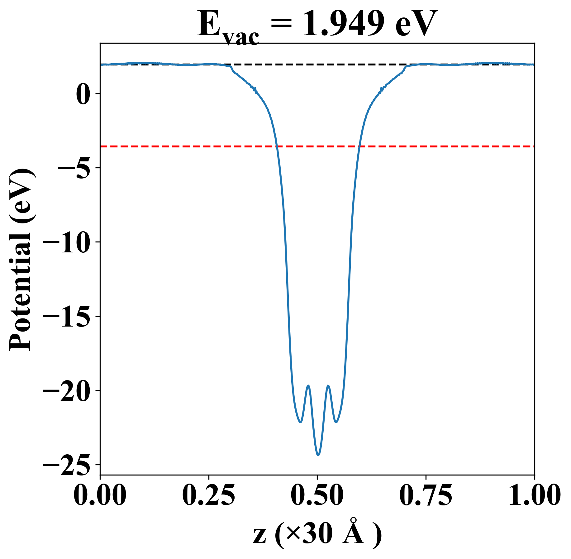
| E-fermi |
-3.562 eV |
| Vacuum level |
1.949 eV |
| VBM |
-3.563 eV |
| CBM |
-3.562 eV |
| Work function |
5.511 eV |
| Direct gap |
No |
| Property |
Value |
| Band gap |
0.00 eV |
| E-fermi |
-3.562 eV |
| Vacuum level |
1.949 eV |
| VBM |
-3.563 eV |
| CBM |
-3.562 eV |
| Work function |
5.511 eV |
| Cij (N/m) |
xx |
yy |
xy |
| xx |
35.822 |
14.681 |
-0.000 |
| yy |
14.681 |
35.822 |
-0.000 |
| xy |
-0.000 |
-0.000 |
10.571 |
| Phonon mode at Γ point (THz) |
| -3.947 |
| -3.947 |
| -0.028 |
| 0.009 |
| 0.009 |
| 2.986 |
| 2.986 |
| 4.646 |
| 5.665 |
| Property |
Value |
| from where |
c2db-522 |