Mn1S2
MatHub2d-822-Mn1S2
| Property |
Value |
| Space group |
(187, 'P-6m2') |
| Crystal system |
hexagonal |
| Magnetic |
Yes |
| Band gap (PBE) (eV) |
0.00 |
| Free energy (eV) |
-15.268 |
| Free energy / atom (eV) |
-5.089 |
Lattice Parameters (basic)
| a, b, c (Å): | 3.091 | 3.091 | 30.000 |
| α, β, γ (°): | 90.000 | 90.000 | 120.000 |
Lattice Parameters (computed)
| a, b, c (Å): | 3.117 | 3.117 | 30.000 |
| α, β, γ (°): | 90.000 | 90.000 | 120.000 |
| Property |
Value |
| Band gap |
0.00 eV |
| E-fermi |
-2.910 eV |
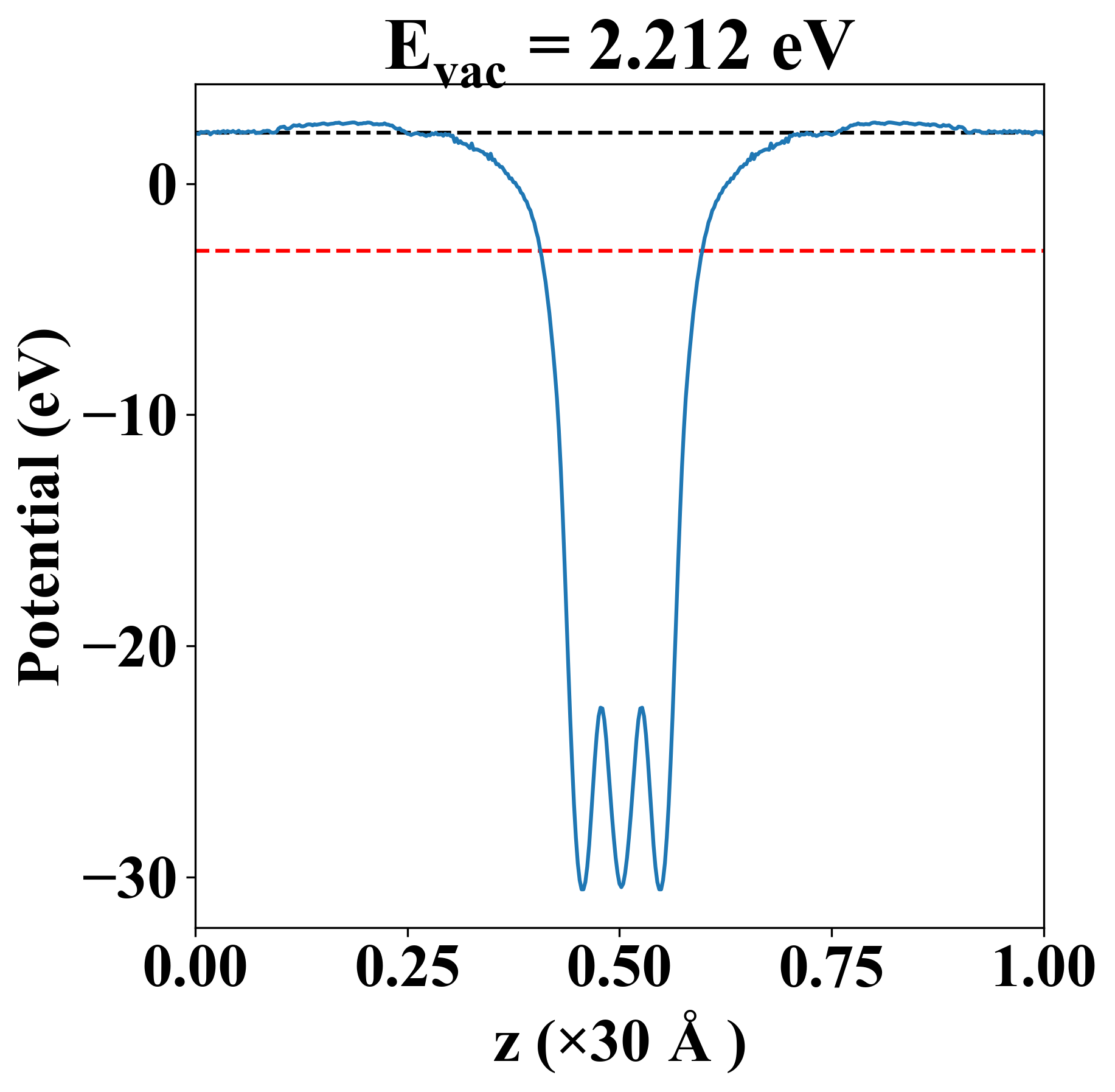
| Vacuum level |
2.212 eV |
| VBM |
-2.912 eV |
| CBM |
-2.909 eV |
| Work function |
5.122 eV |
| Direct gap |
No |
| Property |
Value |
| Band gap |
0.00 eV |
| E-fermi |
-2.910 eV |
| Vacuum level |
2.212 eV |
| VBM |
-2.912 eV |
| CBM |
-2.909 eV |
| Work function |
5.122 eV |
| Cij (N/m) |
xx |
yy |
xy |
| xx |
83.121 |
47.769 |
0.000 |
| yy |
47.769 |
83.121 |
-0.000 |
| xy |
0.000 |
-0.000 |
17.676 |
| Phonon mode at Γ point (THz) |
| -0.021 |
| -0.009 |
| -0.009 |
| 7.073 |
| 7.073 |
| 10.545 |
| 11.081 |
| 11.081 |
| 12.825 |
| Property |
Value |
| from where |
c2db-521 |