Mn1S2
MatHub2d-821-Mn1S2
| Property |
Value |
| Space group |
(164, 'P-3m1') |
| Crystal system |
hexagonal |
| Magnetic |
Yes |
| Band gap (PBE) (eV) |
0.00 |
| Free energy (eV) |
-16.287 |
| Free energy / atom (eV) |
-5.429 |
Lattice Parameters (basic)
| a, b, c (Å): | 3.350 | 3.350 | 30.000 |
| α, β, γ (°): | 90.000 | 90.000 | 120.000 |
Lattice Parameters (computed)
| a, b, c (Å): | 3.350 | 3.350 | 30.000 |
| α, β, γ (°): | 90.000 | 90.000 | 120.000 |
| Property |
Value |
| Band gap |
0.00 eV |
| E-fermi |
-3.515 eV |
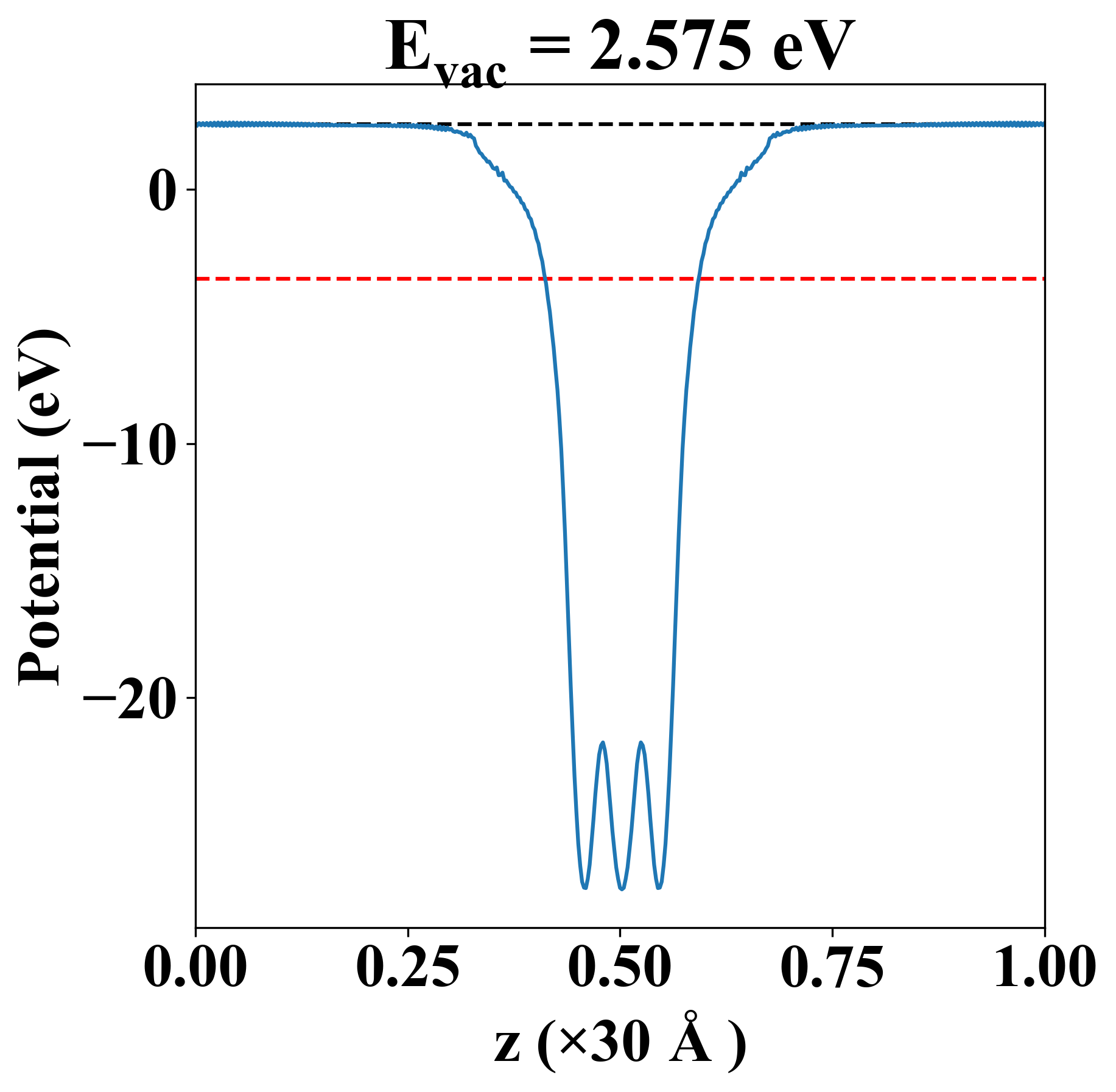
| Vacuum level |
2.575 eV |
| VBM |
-3.516 eV |
| CBM |
-3.514 eV |
| Work function |
6.090 eV |
| Direct gap |
No |
| Property |
Value |
| Band gap |
0.00 eV |
| E-fermi |
-3.515 eV |
| Vacuum level |
2.575 eV |
| VBM |
-3.516 eV |
| CBM |
-3.514 eV |
| Work function |
6.090 eV |
| Cij (N/m) |
xx |
yy |
xy |
| xx |
47.200 |
22.388 |
0.000 |
| yy |
22.388 |
47.200 |
-0.000 |
| xy |
0.000 |
-0.000 |
12.406 |
| Phonon mode at Γ point (THz) |
| -4.472 |
| -4.472 |
| -0.024 |
| 0.032 |
| 0.032 |
| 5.612 |
| 5.612 |
| 8.376 |
| 8.420 |
| Property |
Value |
| from where |
c2db-520 |