Mn1O2
MatHub2d-820-Mn1O2
| Property |
Value |
| Space group |
(187, 'P-6m2') |
| Crystal system |
hexagonal |
| Magnetic |
Yes |
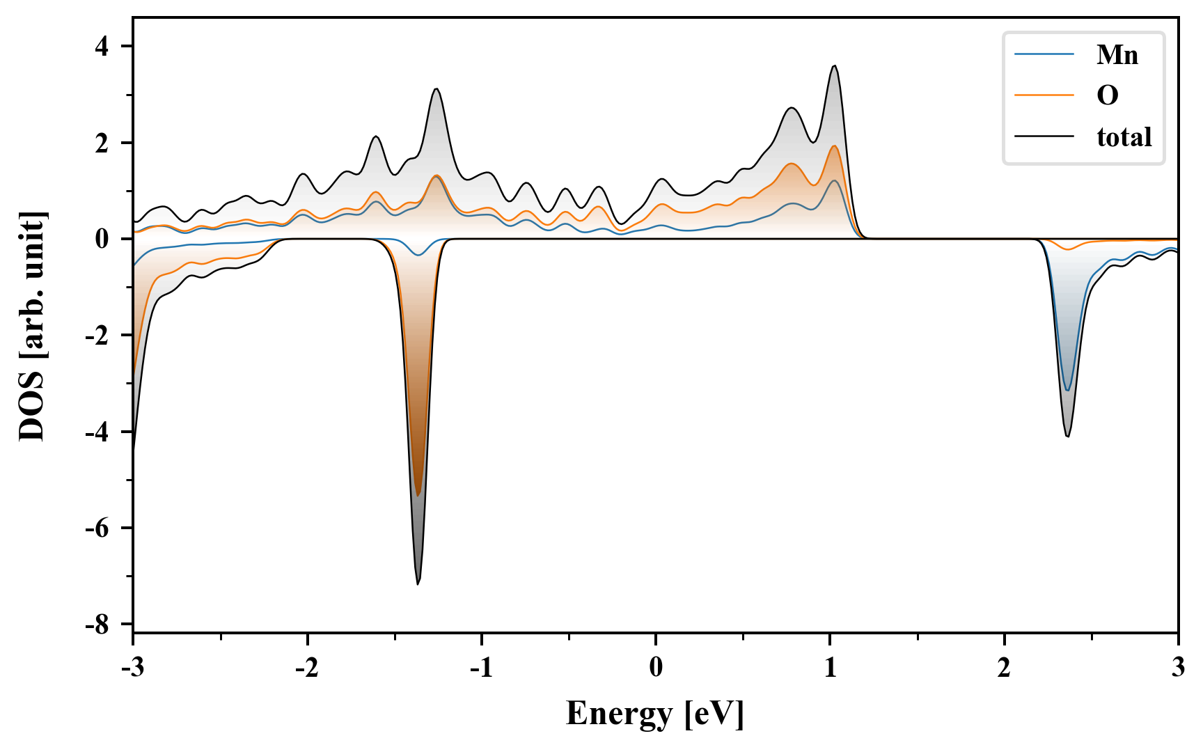
| Band gap (PBE) (eV) |
0.00 |
| Free energy (eV) |
-19.465 |
| Free energy / atom (eV) |
-6.488 |
Lattice Parameters (basic)
| a, b, c (Å): | 2.667 | 2.667 | 30.000 |
| α, β, γ (°): | 90.000 | 90.000 | 120.000 |
Lattice Parameters (computed)
| a, b, c (Å): | 2.964 | 2.964 | 30.000 |
| α, β, γ (°): | 90.000 | 90.000 | 120.000 |
| Property |
Value |
| Band gap |
0.00 eV |
| E-fermi |
-5.750 eV |
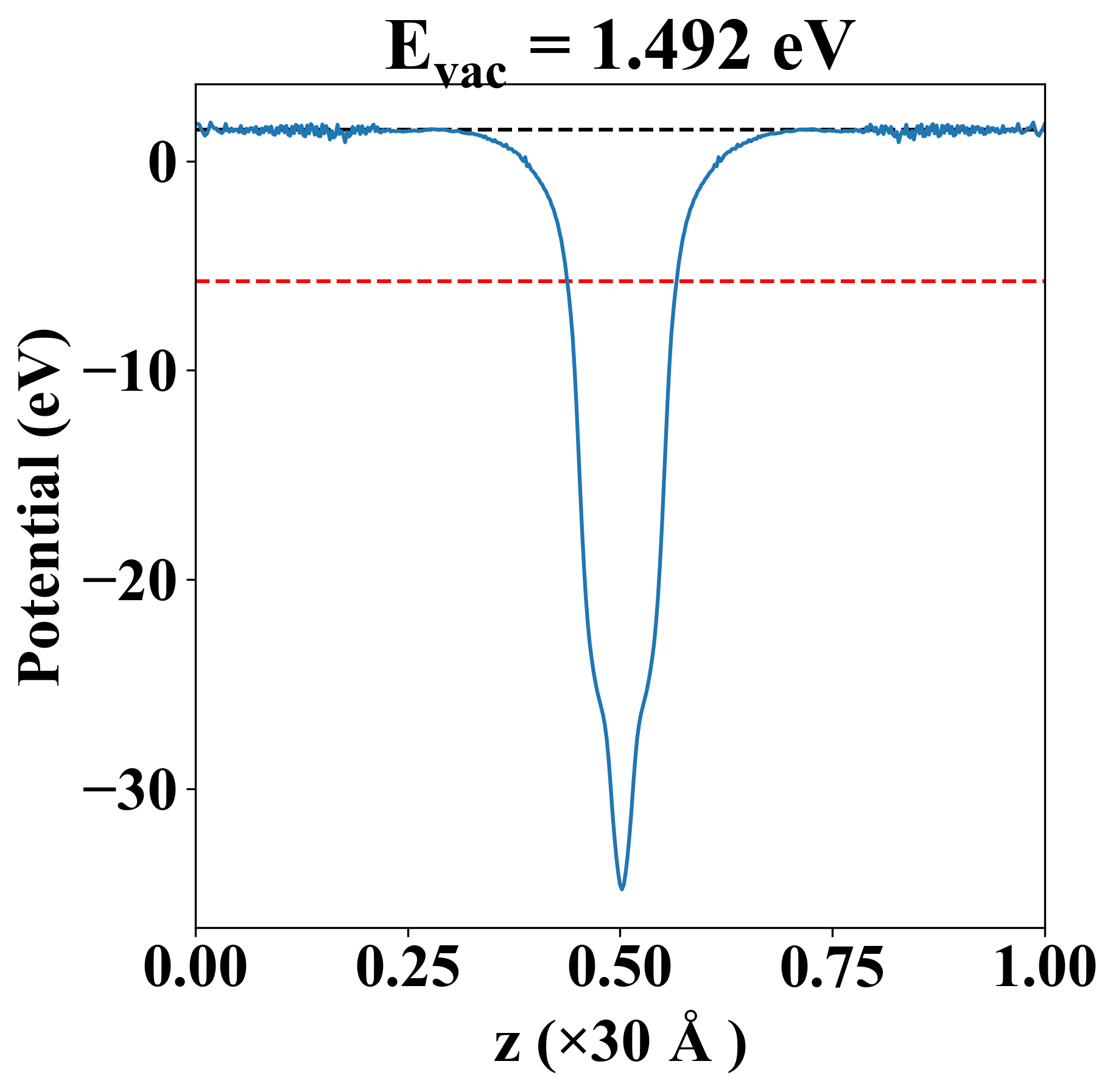
| Vacuum level |
1.492 eV |
| VBM |
-5.752 eV |
| CBM |
-5.745 eV |
| Work function |
7.242 eV |
| Direct gap |
No |
| Property |
Value |
| Band gap |
0.00 eV |
| E-fermi |
-5.750 eV |
| Vacuum level |
1.492 eV |
| VBM |
-5.752 eV |
| CBM |
-5.745 eV |
| Work function |
7.242 eV |
| Cij (N/m) |
xx |
yy |
xy |
| xx |
74.756 |
52.462 |
-0.000 |
| yy |
52.462 |
74.756 |
0.000 |
| xy |
-0.000 |
0.000 |
11.147 |
| Phonon mode at Γ point (THz) |
| -0.021 |
| -0.021 |
| -0.009 |
| 6.649 |
| 6.649 |
| 8.994 |
| 8.994 |
| 15.578 |
| 19.341 |
| Property |
Value |
| from where |
c2db-519 |