Mn1O2
MatHub2d-819-Mn1O2
| Property |
Value |
| Space group |
(164, 'P-3m1') |
| Crystal system |
hexagonal |
| Magnetic |
Yes |
| Band gap (PBE) (eV) |
1.85 |
| Free energy (eV) |
-21.144 |
| Free energy / atom (eV) |
-7.048 |
Lattice Parameters (basic)
| a, b, c (Å): | 2.882 | 2.882 | 30.000 |
| α, β, γ (°): | 90.000 | 90.000 | 120.000 |
Lattice Parameters (computed)
| a, b, c (Å): | 2.924 | 2.924 | 30.000 |
| α, β, γ (°): | 90.000 | 90.000 | 120.000 |
| Property |
Value |
| Band gap |
1.85 eV |
| E-fermi |
-6.369 eV |
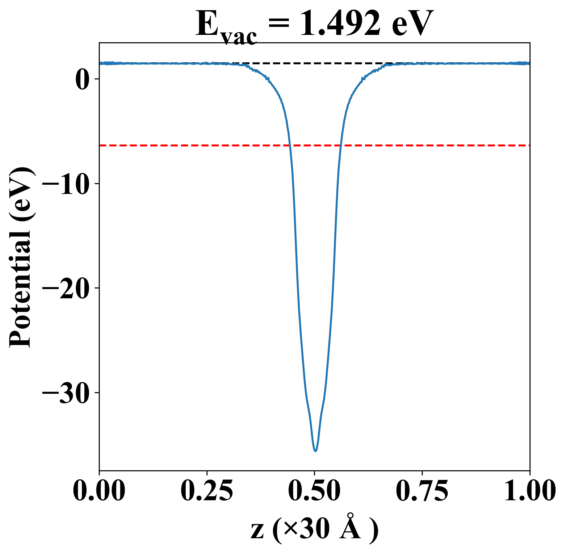
| Vacuum level |
1.492 eV |
| VBM |
-6.767 eV |
| CBM |
-4.918 eV |
| Work function |
7.861 eV |
| Direct gap |
No |
| Property |
Value |
| Band gap |
1.85 eV |
| E-fermi |
-6.369 eV |
| Vacuum level |
1.492 eV |
| VBM |
-6.767 eV |
| CBM |
-4.918 eV |
| Work function |
7.861 eV |
| Cij (N/m) |
xx |
yy |
xy |
| xx |
69.300 |
21.027 |
-0.000 |
| yy |
21.027 |
69.300 |
0.000 |
| xy |
-0.000 |
0.000 |
24.137 |
| Phonon mode at Γ point (THz) |
| -6.985 |
| -6.985 |
| -0.018 |
| 0.053 |
| 0.053 |
| 8.681 |
| 8.681 |
| 13.494 |
| 13.873 |
| Property |
Value |
| from where |
c2db-1876 |