Mg2P2Se6
MatHub2d-818-Mg2P2Se6
| Property |
Value |
| Space group |
(162, 'P-31m') |
| Crystal system |
hexagonal |
| Magnetic |
No |
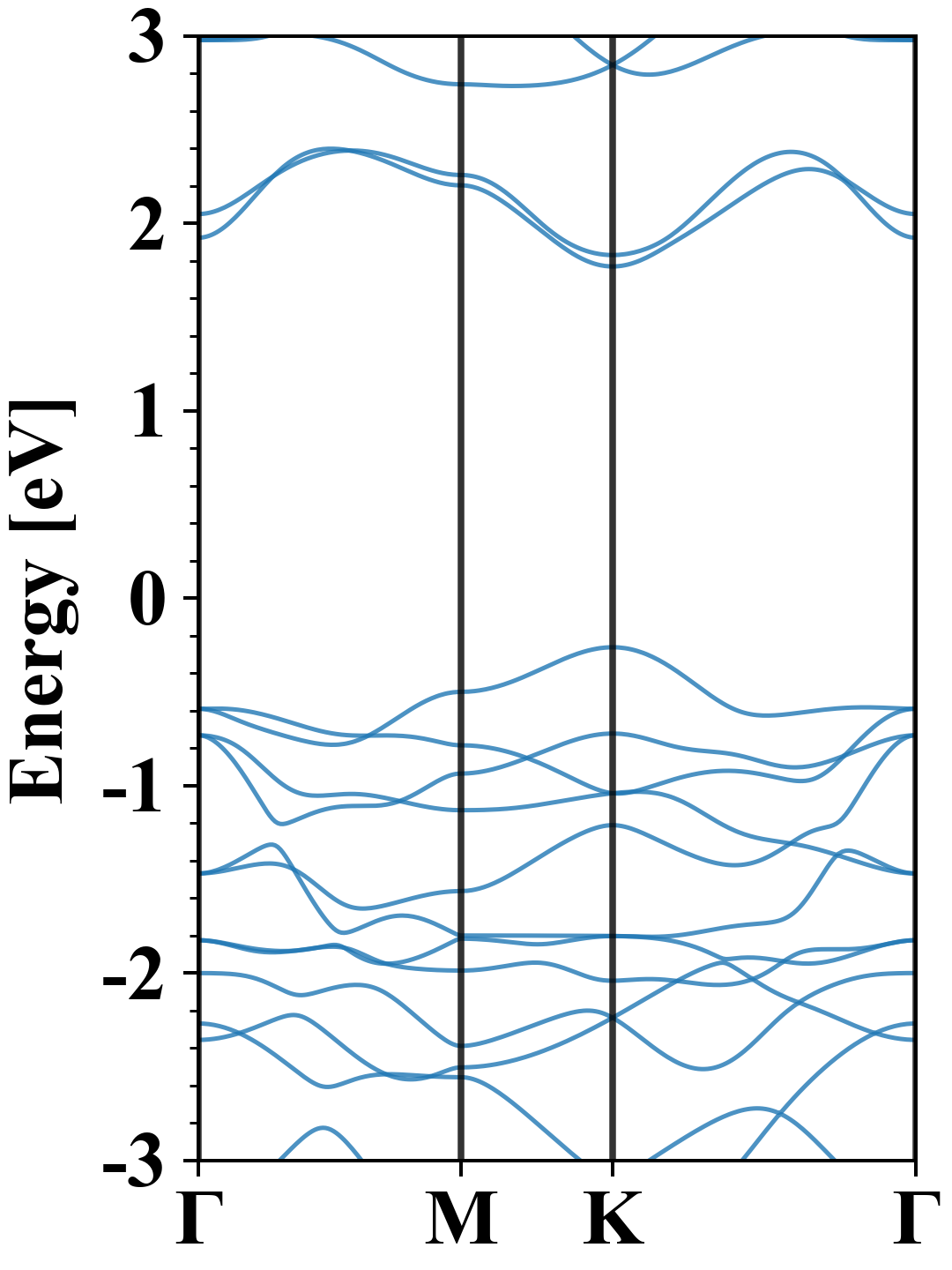
| Band gap (PBE) (eV) |
2.03 |
| Free energy (eV) |
-40.926 |
| Free energy / atom (eV) |
-4.093 |
Lattice Parameters (basic)
| a, b, c (Å): | 6.426 | 6.426 | 30.000 |
| α, β, γ (°): | 90.000 | 90.000 | 120.000 |
Lattice Parameters (computed)
| a, b, c (Å): | 6.452 | 6.452 | 30.000 |
| α, β, γ (°): | 90.000 | 90.000 | 120.000 |
| Property |
Value |
| Band gap |
2.03 eV |
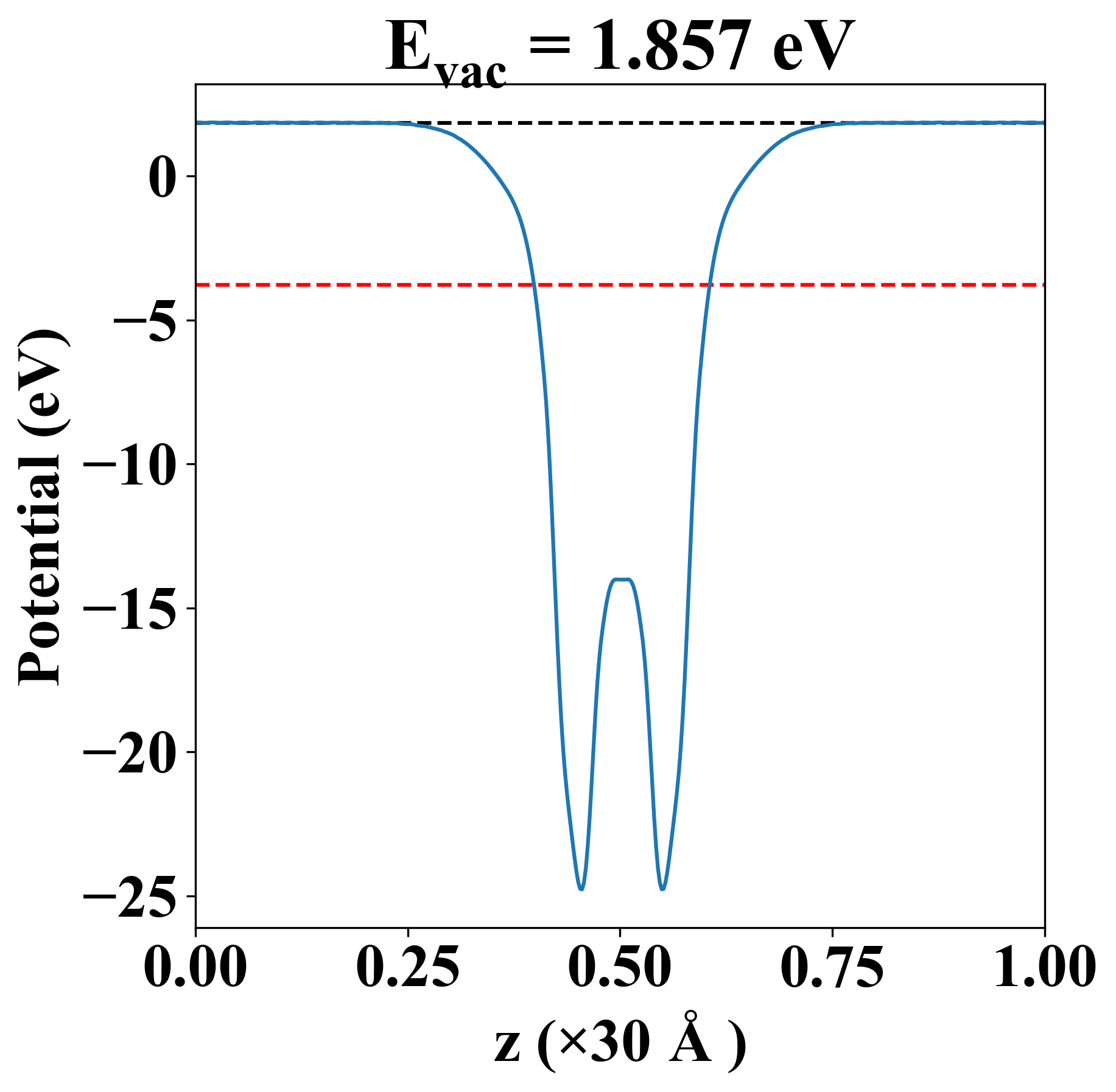
| E-fermi |
-3.784 eV |
| Vacuum level |
1.857 eV |
| VBM |
-4.046 eV |
| CBM |
-2.015 eV |
| Work function |
5.641 eV |
| Direct gap |
Yes |
| Property |
Value |
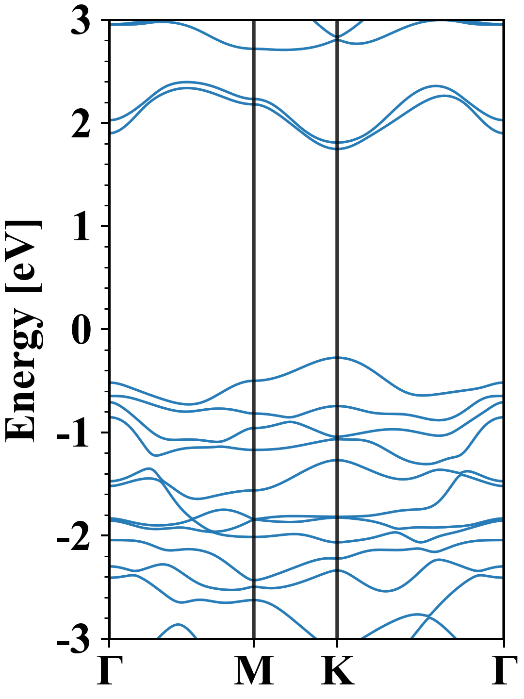
| Band gap |
2.02 eV |
| E-fermi |
-3.761 eV |
| VBM |
-4.037 eV |
| CBM |
-2.014 eV |
| Free energy (eV) |
-41.047 |
| Free energy / atom (eV) |
-4.105 |
| Property |
Value |
| Band gap |
2.03 eV |
| E-fermi |
-3.784 eV |
| Vacuum level |
1.857 eV |
| VBM |
-4.046 eV |
| CBM |
-2.015 eV |
| Work function |
5.641 eV |
| Cij (N/m) |
xx |
yy |
xy |
| xx |
55.358 |
14.877 |
-0.000 |
| yy |
14.877 |
55.358 |
0.000 |
| xy |
-0.000 |
0.000 |
20.241 |
| Phonon mode at Γ point (THz) |
| -0.002 |
| -0.002 |
| 0.001 |
| 1.265 |
| 2.243 |
| 2.243 |
| 2.950 |
| 3.126 |
| 3.126 |
| 3.533 |
| 3.533 |
| 4.039 |
| 4.039 |
| 4.123 |
| 4.134 |
| 4.650 |
| 4.650 |
| 6.013 |
| 6.013 |
| 6.171 |
| 6.278 |
| 6.445 |
| 6.445 |
| 7.457 |
| 10.113 |
| 12.626 |
| 12.626 |
| 13.016 |
| 13.016 |
| 14.265 |
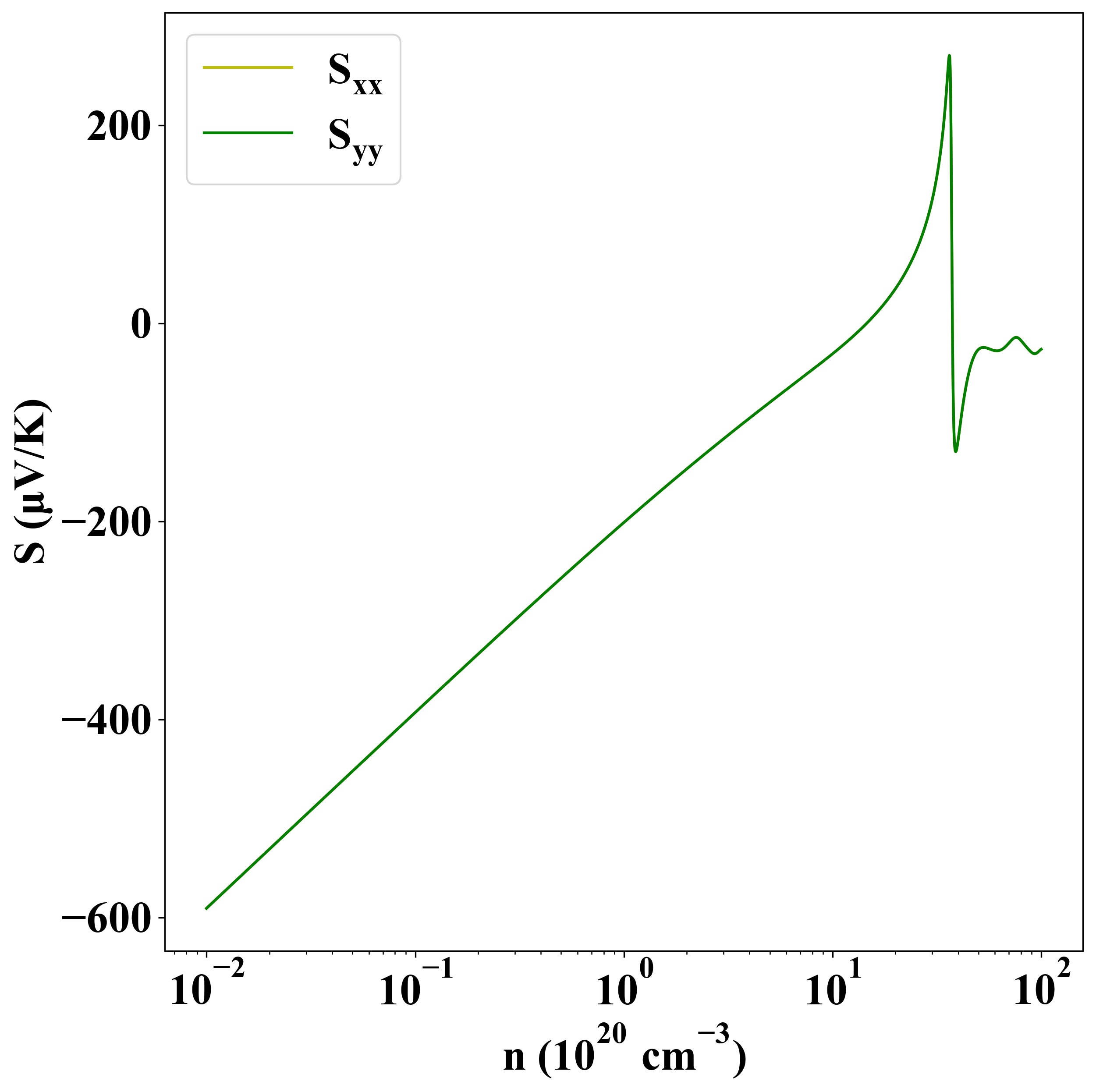
| Carrier type |
C2D (N/m) |
Edef (eV) |
μ (cm2V-1s-1) |
| x |
y |
x |
y |
x |
y |
| hole |
54.79 |
54.70 |
-2.88 |
-2.81 |
-89.14 |
-93.91 |
| electron |
-2.60 |
-2.58 |
257.54 |
260.54 |
| Property |
Value |
| from where |
JVASP-6307 |