Ir2Te2
MatHub2d-817-Ir2Te2
| Property |
Value |
| Space group |
(187, 'P-6m2') |
| Crystal system |
hexagonal |
| Magnetic |
No |
| Band gap (PBE) (eV) |
0.00 |
| Free energy (eV) |
-17.397 |
| Free energy / atom (eV) |
-4.349 |
Lattice Parameters (basic)
| a, b, c (Å): | 4.002 | 4.002 | 30.000 |
| α, β, γ (°): | 90.000 | 90.000 | 120.000 |
Lattice Parameters (computed)
| a, b, c (Å): | 3.688 | 3.688 | 30.000 |
| α, β, γ (°): | 90.000 | 90.000 | 120.000 |
| Property |
Value |
| Band gap |
0.00 eV |
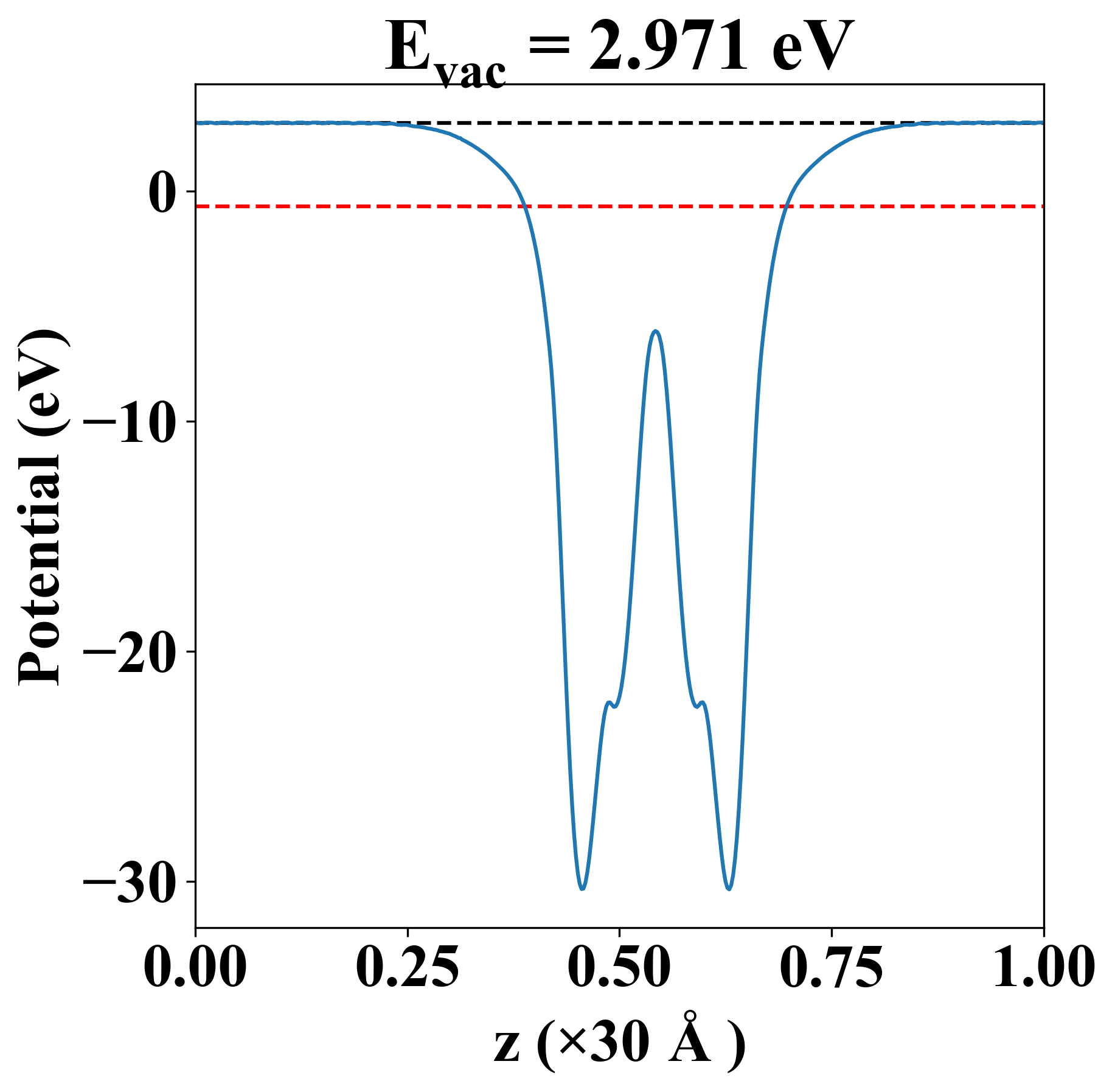
| E-fermi |
-0.653 eV |
| Vacuum level |
2.971 eV |
| VBM |
-0.654 eV |
| CBM |
-0.653 eV |
| Work function |
3.624 eV |
| Direct gap |
No |
| Property |
Value |
| Band gap |
0.00 eV |
| E-fermi |
-0.653 eV |
| Vacuum level |
2.971 eV |
| VBM |
-0.654 eV |
| CBM |
-0.653 eV |
| Work function |
3.624 eV |
| Cij (N/m) |
xx |
yy |
xy |
| xx |
28.572 |
0.517 |
0.000 |
| yy |
0.517 |
28.572 |
-0.000 |
| xy |
0.000 |
-0.000 |
14.028 |
| Phonon mode at Γ point (THz) |
| -1.076 |
| -1.076 |
| -0.001 |
| 0.002 |
| 0.002 |
| 3.388 |
| 5.422 |
| 5.519 |
| 5.519 |
| 5.648 |
| 5.648 |
| 7.291 |
| Property |
Value |
| from where |
c2db-1643 |